Difference between direct sum and direct product

Click For Summary
SUMMARY

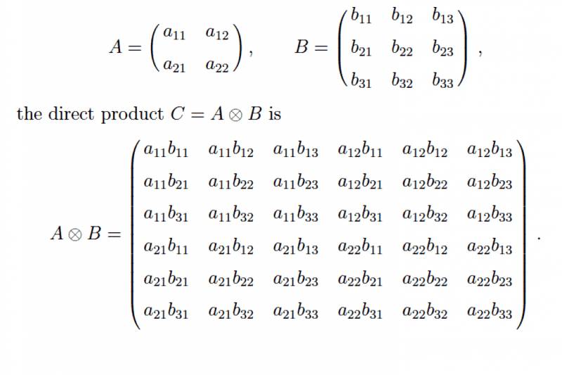
The discussion clarifies the distinction between direct sum and direct product in the context of group theory and quantum mechanics. Specifically, a direct sum of matrices results in a larger matrix that combines their dimensions additively, while a direct product results in a matrix that combines their dimensions multiplicatively. For example, if matrix A is 2x2 and matrix B is 3x3, the direct sum yields a 5x5 matrix, whereas the direct product results in a 6x6 matrix. The terminology can be misleading, particularly when referring to tensor products, which should be clearly defined to avoid confusion.

PREREQUISITES
  • Understanding of group theory concepts
  • Familiarity with matrix operations
  • Knowledge of vector spaces and their structures
  • Basic grasp of tensor products in mathematics
NEXT STEPS
  • Research the properties of tensor products in linear algebra
  • Study the applications of direct sums in vector spaces
  • Explore the implications of direct products in group theory
  • Examine the differences between additive and multiplicative structures in algebra
USEFUL FOR

This discussion is beneficial for mathematicians, physicists, and students studying group theory or quantum mechanics, particularly those seeking clarity on the mathematical distinctions between direct sums and direct products.

Silviu
Messages
612
Reaction score
11
Hello! I am reading something about applications of group theory in quantum mechanics and I got confused about the difference between direct sum and direct product. In many places I found that they mean the same thing. However, the ways I found them defined in the book I read from, seem to be different, even if they use the same mathematical symbol to represent the 2 of them. I attached the 2 ways they are defined in the book. So according to these definitions, if I understand it right, If A is 2x2 and B is 3x3, the direct sum will be 5x5 and the direct product will be 6x6, which are obviously not the same thing. So, can anyone explain this to me please? Thank you!
 

Attachments

  • DirectSum.png
    DirectSum.png
    97.4 KB · Views: 1,009
  • DirectProduct.png
    DirectProduct.png
    92.4 KB · Views: 1,800
Physics news on Phys.org
What is called a direct product here is misleading. It should better be named what it is: a tensor product.
A direct product and a direct sum are really often the same and are used to emphasize on the underlying structure. With additive structures like vector spaces, rings, algebras and here mappings one usually uses direct sum. On multiplicative structures like groups one may use direct product. The direct product can also be the cartesian product of sets. E.g.: Addition in a vector space ##V## is a function from the direct product ##V \times V## - here the cartesian product of pairs - onto ##V##. And the direct sum ##V \oplus V## is the set of all pairs added: ##V \oplus V = \{ u + v \, | \, u,v \in V\}##

Normally it is clear by the context it is used in.
However, the term direct product for a tensor product - only to distinguish between the direct sum of mappings and the tensor product - is rather unfortunate.
 
Last edited:

Similar threads

  • · Replies 10 ·
Replies
10
Views
3K
  • · Replies 2 ·
Replies
2
Views
3K
  • · Replies 4 ·
Replies
4
Views
4K
  • · Replies 2 ·
Replies
2
Views
3K
  • · Replies 3 ·
Replies
3
Views
5K
Replies
6
Views
5K
  • · Replies 11 ·
Replies
11
Views
3K
Replies
17
Views
3K
  • · Replies 12 ·
Replies
12
Views
2K
  • · Replies 2 ·
Replies
2
Views
2K