Donor and Acceptor Concentrations in a Si speciment

Click For Summary
SUMMARY

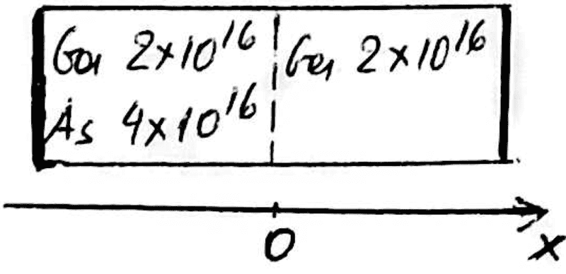
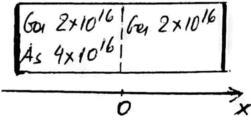
The discussion centers on donor ($N_D$) and acceptor ($N_A$) concentrations in a silicon specimen, specifically addressing the interactions between gallium (Ga) and arsenic (As) atoms. It is established that $N_D = 2 \times 10^{16} \text{cm}^{-3}$ is correct, indicating that there are two types of dopant atoms on the n-side of the junction. Consequently, the total dopant concentration is calculated as $N_D + N_A = 4 \times 10^{16} \text{cm}^{-3}$, confirming the presence of both donors and acceptors in the material.

PREREQUISITES
  • Understanding of semiconductor physics
  • Knowledge of doping processes in silicon
  • Familiarity with donor and acceptor concentrations
  • Basic concepts of n-type and p-type semiconductors
NEXT STEPS
  • Research the effects of different dopants on silicon properties
  • Learn about the role of Ga and As in semiconductor applications
  • Explore the mathematical modeling of dopant concentrations in semiconductors
  • Investigate the impact of temperature on donor and acceptor behavior in silicon
USEFUL FOR

Electrical engineers, materials scientists, and semiconductor researchers who are involved in the design and analysis of silicon-based devices will benefit from this discussion.

lelouch_v1
Messages
9
Reaction score
0
Homework Statement
Suppose that we have a Si speciment and there are Ga atom impurities of $2*10^{16} \text{cm}^{-3} $.`Then, at the left side we insert As impurity atoms of $4*10^{16} \text{cm}^{-3}$. A pn junction is created. What are $N_D$ and $N_A$ at each side of the junction?
Relevant Equations
$$n = \vert{N_D - N_A}\vert$$
At the left side we have the n-side of the junction, whereas at the right we have the p-side. I am a little confused over $N_D$ and $N_A$ at the n-side. Do the Ga atoms interact with the As ones, so we have $N_D = 2*10^{16} \text{cm}^{-3}$, or not, ans thus we have $N_A=2*10^{16} \text{cm}^{-3}$ and $N_D = 4*10^{16} \text{cm}^{-3}$ ?
 

Attachments

  • Screenshot (202).png
    Screenshot (202).png
    30.7 KB · Views: 178
Last edited:
Physics news on Phys.org
The Ga and As atoms do interact, so $N_D = 2*10^{16} \text{cm}^{-3}$ is correct. This means that there are two different types of dopant atoms on the n-side, one type is donors and the other is acceptors. The total concentration of dopants is then $N_D + N_A = 4*10^{16} \text{cm}^{-3}$.
 

Similar threads

Replies
1
Views
2K
  • · Replies 6 ·
Replies
6
Views
3K
  • · Replies 1 ·
Replies
1
Views
3K
  • · Replies 3 ·
Replies
3
Views
2K
  • · Replies 1 ·
Replies
1
Views
4K
Replies
7
Views
2K
  • · Replies 2 ·
Replies
2
Views
12K
Replies
1
Views
4K
Replies
1
Views
3K
  • · Replies 1 ·
Replies
1
Views
1K