Electromagnetism EMF induction calculations

Click For Summary

Homework Help Overview

The discussion revolves around calculating the electromotive force (emf) induced in a square conducting loop situated in a non-uniform magnetic field. The problem presents two scenarios: one where the magnetic field magnitude increases with time and another where it remains constant while the loop moves at a constant speed. Participants are tasked with developing expressions for the induced emf and determining its direction in both cases.

Discussion Character

  • Exploratory, Conceptual clarification, Mathematical reasoning, Problem interpretation, Assumption checking

Approaches and Questions Raised

  • Participants discuss integrating the magnetic field expression with respect to spatial variables and differentiating with respect to time to find the emf. There are questions about the clarity of the problem statement and the proper formulation of equations. Some participants express uncertainty about the context of the moving loop and its interaction with the magnetic field.

Discussion Status

The discussion is ongoing, with participants sharing their attempts at solving part (a) and part (b) of the problem. Some guidance has been offered regarding the use of integration and the cross product in calculating motional emf. There is a recognition of different interpretations regarding the movement of the loop and its implications for the calculations.

Contextual Notes

Participants note difficulties in parsing the original problem statement and emphasize the importance of clear communication in formulating questions. There is also mention of using LaTeX for mathematical expressions to enhance clarity.

imranh88
Messages
6
Reaction score
3
Homework Statement
Electromagnetism EMF induction help
Relevant Equations
Faradays law
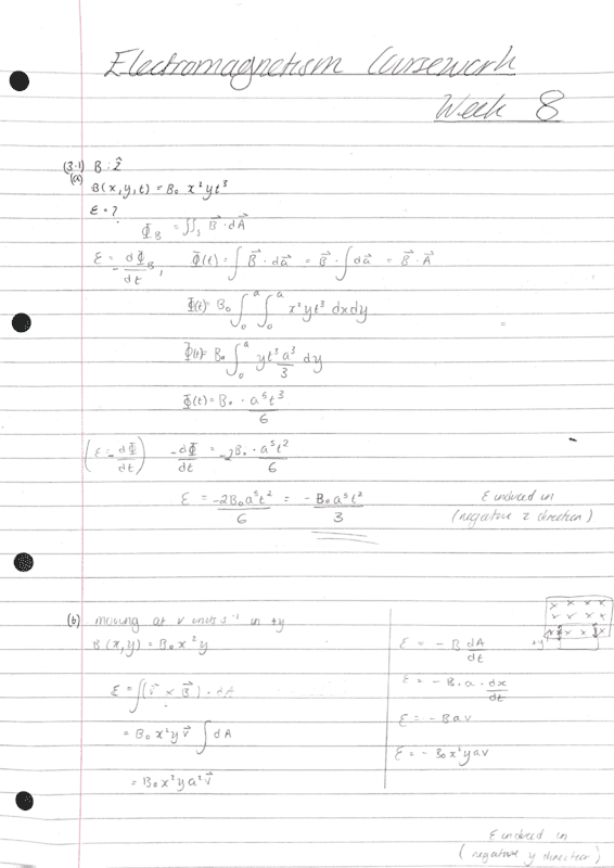
A square conducting loop of side length a is in a non-uniform magnetic field. The loop occupies the first quadrant of the xy plane, i.e. the space between the origin (x, y) = (0,0) and the point (x,y) = (a, a). The magnetic field is in the +z direction. Develop an expression for the magnitude of the emf induced in the coil, if: a) The magnetic field magnitude is increasing with time and is given by B(x, y, t) = Boxyt3? 18 marks b) The magnetic field magnitude is constant with respect to time and is given by B(x, y) = Box" y, but the loop is moving along the + y direction at a constant speed v? (You can assume that loop position described above is for t=0 s). 18 marks What is the direction of the induced emf for the two cases? 14 marks [20 marks total]
 
  • Like
Likes   Reactions: Delta2
Physics news on Phys.org
What I did for part a, was integrate the expression for B with respect to x and again with respect to y. then differentiated with respect to t giving: emf= -B0(a^5t^2)/3 is this correct?
 
Welcome to the PF. :smile:

imranh88 said:
Homework Statement: Electromagnetism EMF induction help
Homework Equations: Faradays law

The magnetic field magnitude is increasing with time and is given by B(x, y, t) = Boxyt3?
Sorry, that is very hard to try to parse. Can you scan the problem and Attach the PDF as a file? It's hard to try to convert what you have posted into a coherent problem statement. Thanks.

imranh88 said:
What I did for part a, was integrate the expression for B with respect to x and again with respect to y. then differentiated with respect to t giving: emf= -B0(a^5t^2)/3 is this correct?
Also, it would really help if you could post your math equations in LaTeX. There is a tutorial that you can get to via INFO, Help at the top of the page.
 
imranh88 said:
Homework Statement: Electromagnetism EMF induction help
Homework Equations: Faradays law

B(x, y, t) = Boxyt3
I have no idea what you are saying here.
Questions that are well constructed and communicated tend to get better answers.
 
  • Like
Likes   Reactions: berkeman
DaveE said:
I have no idea what you are saying here.
Questions that are well constructed and communicated tend to get better answers.

for part (a) the equation is: B_{0}x^{2}yt^{3}
for part (b) the equation is: B_{0}x^x{2}y

Thank you guys for helping me, when you really do not have to :)
I have attached the question below.
 

Attachments

  • Screenshot 2019-11-26 at 14.37.15.png
    Screenshot 2019-11-26 at 14.37.15.png
    34.2 KB · Views: 271
imranh88 said:
What I did for part a, was integrate the expression for B with respect to x and again with respect to y. then differentiated with respect to t giving: emf= -B0(a^5t^2)/3 is this correct?
This is my working: with part b having 2 methods as I am not sure on the context of the question. whether the moving loop is moving into the field or if it is moving while already being entirely subject to the field. My guess is the latter, which would correspond to the left hand side marking. the part c is provided at the end of each part, and was done via simple use of Lenz' law.

Please could you help me out and let me know if I am correct.

Thank you all :)
 

Attachments

  • Scannable Document on 26 Nov 2019 at 2_39_31 pm.png
    Scannable Document on 26 Nov 2019 at 2_39_31 pm.png
    33 KB · Views: 311
  • Like
Likes   Reactions: Delta2
for part (b) of this questions the proper to answer questions based on the theme of motional EMF is through integration and the use of the cross product between the vectors v x B. Therefore, your answer using the first method is correct.
 
  • Like
Likes   Reactions: berkeman and imranh88
putsub12jk said:
for part (b) of this questions the proper to answer questions based on the theme of motional EMF is through integration and the use of the cross product between the vectors v x B. Therefore, your answer using the first method is correct.

Thank you so much!

Can I leave the velocity vector as I did? Also are my directions of induced emf correct? any idea if my part a is correct?
 
you can either express the velocity vector is terms the displacement of the square conducting loop and time, alternatively it would also be good to state the direction of the velocity vector itself i.e. in the +y direction maybe in the step before in your workings. So you can state v sub y hat cross B sub x hat. And yes your direction is also correct as it follows Lenz's Law.
 
  • Like
Likes   Reactions: berkeman and imranh88
  • #10
putsub12jk said:
you can either express the velocity vector is terms the displacement of the square conducting loop and time, alternatively it would also be good to state the direction of the velocity vector itself i.e. in the +y direction maybe in the step before in your workings. So you can state v sub y hat cross B sub x hat. And yes your direction is also correct as it follows Lenz's Law.
You have been an invaluable help. Thank you so much. Highly appreciated.
 
  • Like
Likes   Reactions: putsub12jk

Similar threads

Replies
10
Views
2K
Replies
8
Views
2K
Replies
1
Views
2K
Replies
2
Views
1K
  • · Replies 3 ·
Replies
3
Views
2K
  • · Replies 3 ·
Replies
3
Views
3K
Replies
1
Views
1K
  • · Replies 2 ·
Replies
2
Views
3K
  • · Replies 2 ·
Replies
2
Views
2K
Replies
8
Views
3K