Elementary Function with Non-elementary Derivative

Click For Summary

Discussion Overview

The discussion revolves around the existence of elementary functions that have non-elementary derivatives. Participants explore the definitions and implications of "elementary functions" and their derivatives, questioning whether a proof exists that all elementary functions yield elementary derivatives.

Discussion Character

  • Debate/contested
  • Conceptual clarification
  • Mathematical reasoning

Main Points Raised

  • Some participants express skepticism about the existence of a function with a non-elementary derivative, questioning if a proof exists that all elementary functions have elementary derivatives.
  • Others propose that it may be possible to compile a finite list of all elementary functions and demonstrate that they all have elementary derivatives.
  • A viewpoint is presented that the term "elementary functions" is somewhat subjective, as it depends on the conventions of naming and does not have strict mathematical significance.
  • It is noted that elementary functions were introduced by Liouville and are well-defined, with the Risch algorithm being applicable to this function space.
  • Participants discuss the reasons for creating new "elementary" or "special" functions, suggesting that they often arise from practical applications or as solutions to differential equations, rather than solely from naming indefinite integrals.
  • A later post introduces a specific mathematical question regarding the integral of \( x^{-x} \) and its relation to a series, indicating a shift towards a more technical inquiry.

Areas of Agreement / Disagreement

Participants do not reach a consensus on the existence of elementary functions with non-elementary derivatives. Multiple competing views are presented regarding the definitions and implications of elementary functions.

Contextual Notes

There are limitations in the discussion regarding the definitions of "elementary functions" and the assumptions underlying the claims about their derivatives. The relationship between practical use and the classification of functions remains unresolved.

pierce15
Messages
313
Reaction score
2
Does such a function exist? My gut tells me that such a function should not exist, but is there a proof that all elementary functions have elementary derivatives?
 
Physics news on Phys.org
piercebeatz said:
Does such a function exist? My gut tells me that such a function should not exist, but is there a proof that all elementary functions have elementary derivatives?

I believe that you could make a finite list of all elementary functions and then show that they all have derivatives.
 
I think this is a question about language not math, because "elementary functions" are whatever functions people decide to call "elementary". AFAIK the phrase "elementary function" doesn't have any mathematical siignificance (unlike "analytic function", for example).

A common reason for inventing a new "elementary" function is to give a name to the indefinite integral of some function that has a "practical" use (in physics or engineering) - which explaiins why most (if not all) of them have elementary derivatives.
 
AlephZero said:
I think this is a question about language not math, because "elementary functions" are whatever functions people decide to call "elementary".

Elementary functions were introduced by Liouville. They are well defined.

AFAIK the phrase "elementary function" doesn't have any mathematical significance (unlike "analytic function", for example).

It is currently the largest function space on which the Risch algorithm is known to be decidable.
 
AlephZero said:
A common reason for inventing a new "elementary" function is to give a name to the indefinite integral of some function that has a "practical" use (in physics or engineering)

Roughly I agree, but with some nuances.
First, I prefer to say : A common reason for inventing a new "special" function is to give a name to the indefinite integral ... etc.
Second, if a "special" function becomes of common use and is known by a very large number of people, it can be said "elementary" function in the common language.
Third, giving a name to the integral of a already known function is not the only way to invent a new special function. Many were defined as a solution of a differential equation, or as a solution of an analytic equation (for example the W Lambert function), or thanks to several other kind of definitions. For example, see pp. 20-25 in the paper "Safari in the Contry of Special Functions" :
http://www.scribd.com/JJacquelin/documents
 
JJacquelin said:

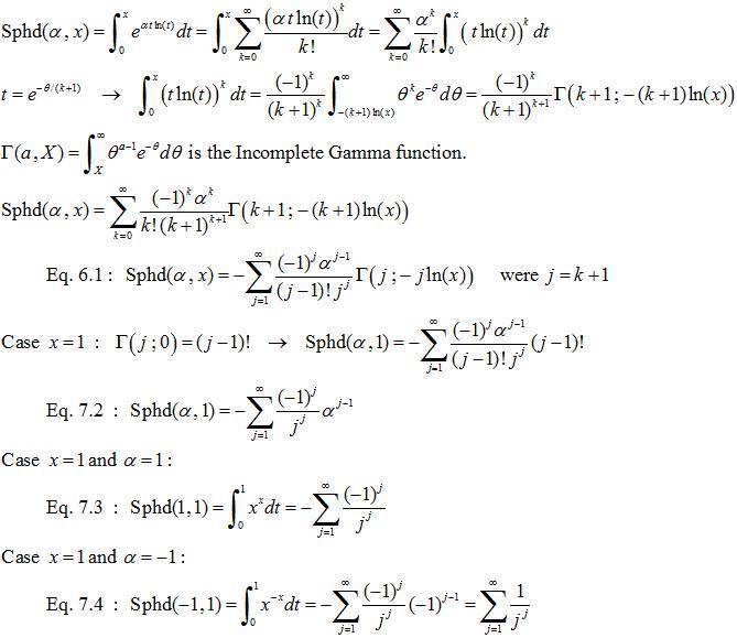
Impressive set of documents! I have a question about the sophomore dream: how would one show that:

$$ \int_0^1 x^{-x} \, dx = \sum_{n=1}^\infty \frac{1}{n^n} $$
 

Attachments

  • Sphd.JPG
    Sphd.JPG
    42.7 KB · Views: 1,237

Similar threads

  • · Replies 2 ·
Replies
2
Views
2K
  • · Replies 5 ·
Replies
5
Views
3K
  • · Replies 11 ·
Replies
11
Views
3K
  • · Replies 4 ·
Replies
4
Views
3K
  • · Replies 17 ·
Replies
17
Views
2K
  • · Replies 11 ·
Replies
11
Views
2K
  • · Replies 2 ·
Replies
2
Views
3K
  • · Replies 8 ·
Replies
8
Views
3K
  • · Replies 9 ·
Replies
9
Views
2K
  • · Replies 3 ·
Replies
3
Views
2K