Equilibrium of Four Point Charges in a Square: Calculating Charge Q

Click For Summary

Homework Help Overview

The problem involves four identical point charges positioned at the corners of a square, with a question regarding the charge needed at the center to maintain equilibrium among these charges. The subject area pertains to electrostatics and the forces between charged particles.

Discussion Character

  • Exploratory, Conceptual clarification, Problem interpretation

Approaches and Questions Raised

  • Participants discuss the forces acting on the charges, suggesting to analyze the interactions between the corner charges and the central charge. There are considerations of symmetry and the nature of forces (attraction and repulsion) involved in the setup.

Discussion Status

Guidance has been offered regarding the approach to analyze the forces acting on one of the corner charges and how to balance these forces with the charge at the center. Multiple perspectives on how to tackle the problem are being explored, with no explicit consensus reached yet.

Contextual Notes

Participants note the complexity of vector forces involved and the necessity of considering both the magnitudes and directions of these forces in the analysis.

badd99
Messages
21
Reaction score
0
Four identical point charges of q = 8.37 nC are at the four corners of a square with a side length of 11.2 cm as shown in the figure. (had to make it but same thing since I can't copy it)

q q

Q

q q

Edit: doesn't come out right when I post so imagen a square little q's on corners and big Q in the center.

What charge Q should be placed at the center of the square to keep the other four charges in equilibrium?

----------------------------

I have no idea how to even start. There are so many vectors here I can't figure out where to even beginning making things equal electrical pull/push
 
Physics news on Phys.org
Well, start by specifically writing the forces acting by 3 charges on the fourth one. You should know similar signs reject each other and different signs attract. By calculating the sum of the forces, see what force it is that will balance it.

The same charge will work for all other charges because of the symmetry of the problem.
 
Start by picking one of the four charges (the upper right, for instance) and figure out the force that each of the other three exert on it. Once you find the net force from those three, you can figure out what Q would have to be to counter that force.

(Edit: Looks like Tomer beat me to it.)
 
You should know you need to put a negative charge at the center to balance the forces. Look at the forces on any corner charge. There will be four forces that act on it, the three forces from the other corner charges and the force from the charge at the middle.

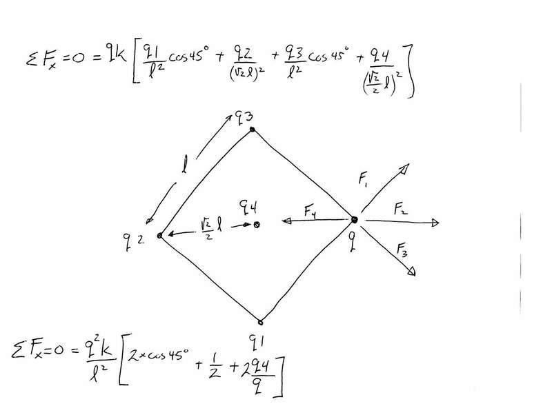
Rotate the square so that you only need to consider forces in the x direction. See the attached sketch. Hope that helps.
 

Attachments

  • 4 charges011.jpg
    4 charges011.jpg
    20.6 KB · Views: 984

Similar threads

  • · Replies 12 ·
Replies
12
Views
4K
  • · Replies 6 ·
Replies
6
Views
1K
  • · Replies 7 ·
Replies
7
Views
1K
  • · Replies 4 ·
Replies
4
Views
2K
Replies
9
Views
2K
  • · Replies 6 ·
Replies
6
Views
5K
  • · Replies 1 ·
Replies
1
Views
5K
Replies
21
Views
2K
  • · Replies 12 ·
Replies
12
Views
2K
  • · Replies 14 ·
Replies
14
Views
2K