Evaluating/Simplifying an Expression

  • Context: MHB 
  • Thread starter Thread starter kingzero
  • Start date Start date
  • Tags Tags
    Expression
Click For Summary
SUMMARY

The discussion centers on simplifying the expression \(\frac{4h}{x + h - x}\). The key takeaway is that the expression simplifies directly to \(\frac{4h}{h}\), which further reduces to 4, provided that \(h \neq 0\). Participants emphasize the importance of recognizing that \(x + h - x\) simplifies to \(h\), which is crucial for correctly evaluating the expression.

PREREQUISITES
  • Understanding of algebraic expressions and simplification techniques
  • Familiarity with basic mathematical operations and properties
  • Knowledge of variable manipulation in algebra
  • Ability to identify and eliminate common factors in fractions
NEXT STEPS
  • Study algebraic simplification techniques in detail
  • Learn about the properties of fractions and how to manipulate them
  • Explore common algebraic expressions and their simplifications
  • Practice problems involving variable manipulation and simplification
USEFUL FOR

Students, educators, and anyone looking to strengthen their algebra skills, particularly in simplifying expressions and understanding variable relationships.

kingzero
Messages
2
Reaction score
0
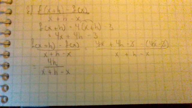
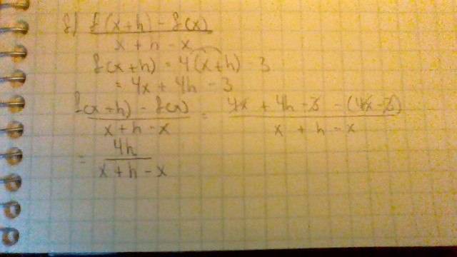
Part f. is the only expression I am unsure of what steps to take to get the correct answer.

Would anyone be willing to give me an idea?
 

Attachments

  • 20191003_180623.jpg
    20191003_180623.jpg
    5.8 KB · Views: 126
Mathematics news on Phys.org
I went ahead and tried it, but I'm still uncertain if I am on the right track.
 

Attachments

  • WIN_20191003_19_12_16_Pro.jpg
    WIN_20191003_19_12_16_Pro.jpg
    22.9 KB · Views: 133
Why did you stop at [tex]\frac{4h}{x+ h- x}[/tex]? You are aware that x+ h- x= h, aren't you?
 

Similar threads

  • · Replies 5 ·
Replies
5
Views
2K
  • · Replies 4 ·
Replies
4
Views
2K
  • · Replies 4 ·
Replies
4
Views
3K
  • · Replies 4 ·
Replies
4
Views
2K
  • · Replies 4 ·
Replies
4
Views
3K
  • · Replies 2 ·
Replies
2
Views
2K
  • · Replies 2 ·
Replies
2
Views
2K
  • · Replies 2 ·
Replies
2
Views
2K
  • · Replies 7 ·
Replies
7
Views
3K
  • · Replies 3 ·
Replies
3
Views
1K