Find in terms of ##h## when ##P## comes instantaneously to rest

  • Thread starter Thread starter chwala
  • Start date Start date
  • Tags Tags
    Displacement Rest
Click For Summary

Homework Help Overview

The discussion revolves around a physics problem involving two particles, P and Q, where P comes to rest after Q hits the ground. The participants are exploring the relationship between the heights and velocities of the particles, particularly focusing on how far P travels upward after Q impacts the ground.

Discussion Character

  • Exploratory, Assumption checking, Problem interpretation

Approaches and Questions Raised

  • Participants are examining the kinematic equations and the conditions of motion for both particles. There are discussions about the initial velocity of P at the moment Q hits the ground and how to calculate the distance P travels upward after that event. Some participants question the assumptions made regarding the distances and accelerations involved.

Discussion Status

The conversation is ongoing, with various interpretations of the problem being explored. Some participants have offered insights into the initial conditions and the need for clarity in the setup of the problem. There is a lack of consensus on certain aspects, particularly regarding the calculations and the relationships between the variables involved.

Contextual Notes

Participants are working under the constraints of a homework assignment, which may limit the information they can share or the methods they can use. There are also indications that some participants are struggling with the application of kinematic equations and the physical setup of the problem.

chwala
Gold Member
Messages
2,840
Reaction score
428
Homework Statement
See attached.
Relevant Equations
Mechanics- Pulleys.
I need insight on the highlighted part;

Total height ##= 2h + h + H##

In my understanding, the displacement on either side would be the same, that is ##=h##m given the condition (assumption) that ##a=0##.

1711663770560.png


1711663816360.png
 
Physics news on Phys.org
and was this part adding any value to the working to solution?

1711665887250.png



we know that upwards acceleration = downwards acceleration and using

##v^2=u^2+ 2gh##

with ##u=0##.

I shall have,

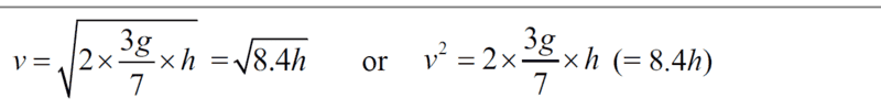
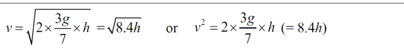
##\left(\dfrac{2×3gh}{7}\right)^2 =(2gH)^2##


##\dfrac{2×3gh}{7} =2gH##

##\dfrac{3gh}{7}=gH##

##H=\dfrac{3h}{7}##.
 
Last edited:
##H## should be how far P travels upward after Q hits the ground.
 
  • Like
Likes   Reactions: MatinSAR and chwala
erobz said:
##H## should be how far P travels upward after Q hits the ground.
When ##Q## hits the ground, the distance travelled by ##P## is ##h+H## and not ##H##.
 
chwala said:
It is ##h+H## and not only ##H##.
I’m not sure what you are saying. P starts at height ##2h## above the ground. It accelerates for a bit obtaining some initial velocity ( which you must figure out with kinetics) at the moment Q hits the ground. What is P’s position and initial velocity at that instant? Then, P continues to travel upward a further distance ##H## (under the influence of gravity alone) until it instantaneously comes to rest before beginning to descend.

I can't make heads or tails of your supposed solution. I see the books solution... I agree with the books solution... How you got to ##H## is nothing short of a miracle in my opinion. You've shown almost no work, and what you have shown is all mixed up.
 
Last edited:
  • Like
Likes   Reactions: Lnewqban
chwala said:
When ##Q## hits the ground, the distance travelled by ##P## is ##h+H## and not ##H##.
Wrong. When Q hits the ground P has traveled how far from its initial position( of 2h)? What is its height relative to the ground? You are to consider how far Q has traveled, and the inextensible rope criterion.
 
Last edited:
erobz said:
I’m not sure what you are saying. P starts at height ##2h## above the ground. It accelerates for a bit obtaining some initial velocity ( which you must figure out with kinetics) at the moment Q hits the ground. What is P’s position and initial velocity at that instant? Then, P continues to travel upward a further distance ##H## (under the influence of gravity alone) until it instantaneously comes to rest before beginning to descend.

I can't make heads or tails of your supposed solution. I see the books solution... I agree with the books solution... How you got to ##H## is nothing short of a miracle in my opinion. You've shown almost no work, and what you have shown is all mixed up.
Learning point for me. So you are implying that ##P## will continue travelling upwards after ##Q## hits the ground? A distance ##h##? let me check that out.
 
chwala said:
Learning point for me. So you are implying that ##P## will continue travelling upwards after ##Q## hits the ground? A distance ##h##? let me check that out.
No , it will travel up a distance ##H## after Q hits ground. Not ##h##. You have to figure that out based on p’s initial velocity the instant Q hits. Once Q hits ground the rope goes slack, and the only force left acting on P is gravity. It becomes a projectile motion problem at that point. But it is a kinetic problem ( Newton’s second law) prior to that point.
 
  • Like
Likes   Reactions: Steve4Physics and Lnewqban
after ##Q## hits the ground, ##P## will travel,

##0 = -8.4h + 2(4.2)h## distance,

##8.4h =8.4h##

##h=1##

now if this is correct, doe imply that,##h=1##? metres. Cheers.
 
Last edited:
  • #10
erobz said:
I’m not sure what you are saying. P starts at height ##2h## above the ground. It accelerates for a bit obtaining some initial velocity ( which you must figure out with kinetics) at the moment Q hits the ground. What is P’s position and initial velocity at that instant? Then, P continues to travel upward a further distance ##H## (under the influence of gravity alone) until it instantaneously comes to rest before beginning to descend.

I can't make heads or tails of your supposed solution. I see the books solution... I agree with the books solution... How you got to ##H## is nothing short of a miracle in my opinion. You've shown almost no work, and what you have shown is all mixed up.
How i got ##H##? working is shown in my post ##2## it is similar to what they have in the textbook. The textbook or rather the ms jumped the step on taking square roots...

I would like insight on the h part. This prompted my post.
 
Last edited:
  • #11
chwala said:
after ##Q## hits the ground, ##P## will travel,

##0 = -8.4h + 2(4.2)h## distance,

##8.4h =8.4h##

##h=1##

now if this is correct, doe imply that,##h=1##? metres. Cheers.
Not correct. The datum is moved to this new point and the standard kinematic equations apply for a projectile acting under gravity. ##H## needs to come out as a function of ##h## on this step.

The equation you came up with shows you are just equation grabbing, and not giving thought to the parts of that need to be put together (or the function of the equations).

Personally, I think we need to start at very beginning.

First step to solve this problem…just first step…What is it?

I’ll show you my first step after.
 
  • Like
Likes   Reactions: Steve4Physics
  • #12
erobz said:
Not correct. The datum is moved to this new point and the standard kinematic equations apply for a price tile acting under gravity. ##H## needs to come out as a function of ##h## on this step.

The equation you came up with shows you are just equation grabbing, and not giving thought to the parts of that need to be put together.

Personally, I think we need to start at very beginning.

First step to solve this problem…just first step…What is it?

I’ll show you my first step after.
I need your guidance here;

after ##Q## hits the ground then the initial velocity for particle ##P## is ##u =\sqrt{8.4h}## and final velocity is ##v=0## that is my start point.

Let me recheck my steps...
 
  • #13
chwala said:
I need your guidance here;

after ##Q## hits the ground then the initial velocity for particle ##P## is ##u =\sqrt{8.4h}## and final velocity ##v=0## that is my start point.
That is near the end of the problem. Show me how you start the problem. I want to go though it all. I’m having doubts how you could have possibly gotten to the step you are on given the equations you are coming up with for the last step… let’s please start from the very beginning. Show how you started.
 
  • #14
erobz said:
That is near the end of the problem. Show me how you start the problem. I want to go though it all. I’m having doubts how you could have possibly gotten to the step you are on given the equations you are coming up with for the last step… let’s please start for on the very beginning. Show how you started.
##(T-2mg)+ (5mg -T) = 2ma +5ma##

##3mg = 7ma##

##a=\dfrac{3g}{7}##.

we know that upwards acceleration = downwards acceleration and using

##v^2=u^2+ 2gh##

with ##u=0##.

I shall have,

##\left(\dfrac{2×3gh}{7}\right)^2 -(2gH)^2 = 0##

##\left(\dfrac{2×3gh}{7}\right)^2 =(2gH)^2 ##

##\dfrac{2×3gh}{7} =2gH##

##\dfrac{3gh}{7}=gH##

##H=\dfrac{3h}{7}##.

just a minute
 
  • #15
chwala said:
##(T-2mg)+ (5mg -T) = 2ma +5ma##

##3mg = 7ma##

##a=\dfrac{3g}{7}##.

we know that upwards acceleration = downwards acceleration and using

##v^2=u^2+ 2gh##

with ##u=0##.

I shall have,

##\left(\dfrac{2×3gh}{7}\right)^2 -(2gH)^2 = 0##

##\left(\dfrac{2×3gh}{7}\right)^2 =(2gH)^2 ##

##\dfrac{2×3gh}{7} =2gH##

##\dfrac{3gh}{7}=gH##

##H=\dfrac{3h}{7}##.

just a minute
Has anyone ever told you don’t listen very well? My first step was updating the diagram to show the various stages of the problem with the variables I needed to figure out at the end of each stage, while labeling a coordinate system, and giving some some lengths of rope a variable names. That is almost always where any physics problem begins. It is a necessity for clearly communicating your intentions to others, and yourself.
 
Last edited:
  • #16
1711709527097.png



##(T-2mg)+ (5mg -T) = 2ma +5ma##

##3mg = 7ma##

##a=\dfrac{3g}{7}##.

That is my first step. Let me now check the steps after this. Considering particle ##Q## motion to the ground, i shall use

##v^2 =u^2 +2as##

##v^2= 0 + 2×\dfrac{3gh}{7}##

##v^2= \dfrac{6gh}{7} =\dfrac{6×9.81h}{7} =8.4h##

Considering particle ##P## motion to the ground, i shall use,

##V^2=u^2 +2gH##
Noting that the acceleration and tension are the same at both sides,

##V^2=0 +2gH =2gH##

Therefore on equating the two,

##\dfrac{6gh}{7} =2gH##

##\dfrac{3h}{7} =H##
 
Last edited:
  • #17
chwala said:
View attachment 342504


##(T-2mg)+ (5mg -T) = 2ma +5ma##

##3mg = 7ma##

##a=\dfrac{3g}{7}##.

That is my first step. Let me now check the steps after this.
The next step shows the position and velocity of mass p, and q on the ground.
 
  • #18
chwala said:
View attachment 342504


##(T-2mg)+ (5mg -T) = 2ma +5ma##

##3mg = 7ma##

##a=\dfrac{3g}{7}##.

That is my first step. Let me now check the steps after this. Considering particle ##Q## motion to the ground, i shall use

##v^2 =u^2 +2as##

##v^2= 0 + 2×\dfrac{3gh}{7}##

##v^2= \dfrac{6gh}{7} =\dfrac{6×9.81h}{7} =8.4h##.
Step 2 looks good. On to the third and final step.
 
  • Like
Likes   Reactions: chwala
  • #19
erobz said:
Step 2 looks good. On to the third and final step.
This is just but a repitition of my earlier post...but i understand that without the schematic diagram then it is not easy for viewers to follow.
 
  • #20
chwala said:
This is just but a repitition of my earlier post...but i understand that without the schematic diagram then it is not easy for viewers to follow.

No it really isn’t. What you are doing now is a logical progression with equations that make sense. Your first post was not.
 
  • Like
Likes   Reactions: chwala
  • #21
now my problem is here; when the rope is slack, after ##Q## hits the ground we have particle ##P## travelling the extra distance given by the equation,

##v^2 =u^2+2(-g)h## and noting that ##u=\sqrt{8.4h}##,

##0 = 8.4h -2gS##

##0 = \dfrac{6gh}{7} -2gS##

##2gS=\dfrac{6gh}{7}##

##2S=\dfrac{6h}{7}##

##S=\dfrac{3h}{7}##

Aaaaaaaaaaaah! I can see it now! The distance from ground will now be given by ##2h + h + S= 2h + h +\dfrac{3h}{7}##
 
Last edited:
  • Like
Likes   Reactions: erobz
  • #22
Step 3 is good!

Now let's go over why I believed you were talking out of your backside in your first few posts:

1) No diagram labeling conventions.

2) No visible application of newtons 2nd law - just an answer from the book was presented

3) This quote:" In my understanding, the displacement on either side would be the same, that is ##=h##m given the condition (assumption) that ##a=0##."

What would a= 0 have to do with the displacements? The displacements are tied to the inextensible string condition.

4) You ask if v or v^2 adds any value to the solution with this post!!!
chwala said:
and was this part adding any value to the working to solution?

chwala said:
5) You use the variable ##h## as a general statement! Its a variable specific to the problem. Don't Do That!
chwala said:
we know that upwards acceleration = downwards acceleration and using

##v^2=u^2+ 2gh##
6) You square ##v^2## and square 2gH, just to unsquare it in this part!
chwala said:
I shall have,

##\left(\dfrac{2×3gh}{7}\right)^2 =(2gH)^2##


##\dfrac{2×3gh}{7} =2gH##

##\dfrac{3gh}{7}=gH##

##H=\dfrac{3h}{7}##.

7) In a subsequent post you reveal that you didn't realize P keeps traveling up after Q hits the ground!
chwala said:
Learning point for me. So you are implying that ##P## will continue travelling upwards after ##Q## hits the ground? A distance ##h##? let me check that out.
How do you solve the problem without understanding this...It is simply not possible!

8) Then This: You set ##v = v##.
chwala said:
after ##Q## hits the ground, ##P## will travel,

##0 = -8.4h + 2(4.2)h## distance,

##8.4h =8.4h##

##h=1##

now if this is correct, doe imply that,##h=1##? metres. Cheers.


So there is absolutely no reason for you to make the statement:
chwala said:
This is just but a repitition of my earlier post...

Do we understand each other yet?
 
  • Like
  • Informative
Likes   Reactions: Lnewqban, MatinSAR, Steve4Physics and 1 other person
  • #23
erobz said:
Step 3 is good!

Now let's go over why I believed you were talking out of your backside in your first few posts:

1) No diagram labeling conventions.

2) No visible application of newtons 2nd law - just an answer from the book was presented

3) This quote:" In my understanding, the displacement on either side would be the same, that is ##=h##m given the condition (assumption) that ##a=0##."

What would a= 0 have to do with the displacements? The displacements are tied to the inextensible string condition.

4) You ask if v or v^2 adds any value to the solution with this post!!!



5) You use the variable ##h## as a general statement! Its a variable specific to the problem. Don't Do That!

6) You square ##v^2## and square 2gH, just to unsquare it in this part!


7) In a subsequent post you reveal that you didn't realize P keeps traveling up after Q hits the ground!

How do you solve the problem without understanding this...It is simply not possible!

8) Then This: You set ##v = v##.



So there is absolutely no reason for you to make the statement:


Do we understand each other yet?
7) In a subsequent post you reveal that you didn't realize P keeps traveling up after Q hits the ground!

That is true i did not know that. It is a learning point for me.
 
  • Like
Likes   Reactions: Lnewqban
  • #24
chwala said:
7) In a subsequent post you reveal that you didn't realize P keeps traveling up after Q hits the ground!

That is true i did not know that. It is a learning point for me.
My point is that you can't have possibly solved the problem prior to knowing it. So you were just presenting your (poorly constructed) rendition of the books solution. I think your ego is getting in the way of you actually learning. Please allow yourself to "not know" for a while, ask some questions, and think for a bit more before running to the book. Trust me...you're not the only one who glosses over a solution in the book and says " it's easy...I understand it"... The book makes everything look easy.
 
Last edited:
  • Like
Likes   Reactions: MatinSAR and chwala
  • #25
erobz said:
My point is that you can't have possible solved the problem prior to knowing it. So you were just presenting your (poorly constructed) rendition of the books solution. I think your ego is getting in the way of you actually learning.
Agreed, i used the wrong equations to try and get the slack distance. I am learning slowly. Cheers.
 
  • Like
Likes   Reactions: erobz
  • #26
erobz said:
Has anyone ever told you don’t listen very well? My first step was updating the diagram to show the various stages of the problem with the variables I needed to figure out at the end of each stage, while labeling a coordinate system, and giving some some lengths of rope a variable names. That is almost always where any physics problem begins. It is a necessity for clearly communicating your intentions to others, and yourself.
Where is this diagram?
 
  • #27
SammyS said:
Where is this diagram?
Where is what diagram?
 
  • #28
SammyS said:
Where is this diagram?
The updated diagram you referred to.
 
  • #29
SammyS said:
The updated diagram you referred to.
post ##16##
 
  • #30
SammyS said:
The updated diagram you referred to.
That was my own. I was telling them how I started the problem, instead of just writing down random equations.

If you are requesting to see my diagram I’m on my phone, I don’t have it with me currently. But his updated diagram is in post #16.
 

Similar threads

Replies
34
Views
3K
  • · Replies 14 ·
Replies
14
Views
2K
Replies
14
Views
4K
Replies
13
Views
3K
  • · Replies 3 ·
Replies
3
Views
1K
  • · Replies 3 ·
Replies
3
Views
2K
Replies
2
Views
1K
Replies
2
Views
1K
  • · Replies 40 ·
2
Replies
40
Views
6K
  • · Replies 15 ·
Replies
15
Views
4K