Find the accelerations of all three blocks and the tension in the rope

Click For Summary
SUMMARY

The discussion focuses on solving a physics problem involving three blocks and a rope, utilizing Newton's laws of motion. The participant outlines their approach, which includes deriving equations from Newton's laws and a constraint equation. They emphasize the importance of consistency in the signs of the equations, specifically noting that the fourth equation should read a_{1} + a_{2} = 2a_{3} to maintain positive acceleration values. The conclusion confirms that with four equations and four unknowns, the system can be solved effectively.

PREREQUISITES
  • Newton's laws of motion
  • Understanding of kinematics and acceleration
  • Basic algebra for solving equations
  • Familiarity with LaTeX for writing equations
NEXT STEPS
  • Study the application of Newton's laws in multi-body systems
  • Learn how to derive and solve constraint equations in mechanics
  • Practice writing equations in LaTeX for clarity
  • Explore examples of solving systems of equations in physics problems
USEFUL FOR

Students studying physics, particularly those focusing on mechanics, as well as educators looking for examples of problem-solving techniques in multi-body dynamics.

rashida564
Messages
220
Reaction score
7
Homework Statement
In the system shown above m1 > m2 . The pulleys are massless and frictionless, and the
rope joining the blocks has no mass. The coefficient of static friction between the blocks
and the tables is greater than the coefficient of kinetic friction: µs > µk . The downward
acceleration of gravity is g .
Now consider the case where, when released from rest, all three blocks
begin to move. Find the accelerations of all three blocks and the tension in
the rope.
Relevant Equations
F=ma
I am thinking about solving it this way.
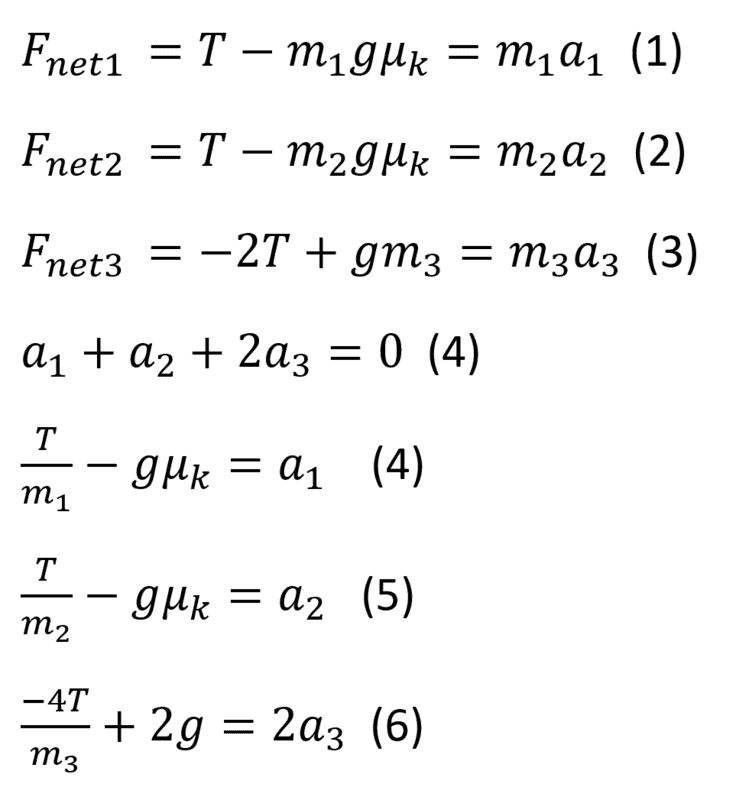
The first three equation is from Newton law.
Then the forth one is the constrain equation, after that I simplified the first three equations, and I am thinking about plugging them into the forth equation and solve for T after that I get the value of each acceleration, but I have 10% scared that I am having sign wrong in one of them.
Sorry about writing the equation as picture I want to improve my writing, but going to learn LaTex after exams.
 

Attachments

  • Solving.PNG
    Solving.PNG
    18.9 KB · Views: 253
  • Capture.PNG
    Capture.PNG
    7.8 KB · Views: 262
Physics news on Phys.org
I believe in order to be consistent with your first 3 equations, the fourth equation should read ##a_{1} + a_{2} = 2a_{3}##, since all of the accelerations are taken to be positive. Either that or reverse the signs of the first two Newton II relations, to be consistent with the directions of ##x_{1}## and ##x_{2}## on your diagrams. It doesn't matter which you choose.

Then, the system has 4 equations and 4 unknowns so it should be possible to solve.
 
Thanks mate, now I see my mistake.
 

Similar threads

Replies
4
Views
2K
  • · Replies 22 ·
Replies
22
Views
3K
  • · Replies 66 ·
3
Replies
66
Views
7K
Replies
21
Views
2K
Replies
3
Views
1K
Replies
43
Views
5K
  • · Replies 25 ·
Replies
25
Views
6K
  • · Replies 13 ·
Replies
13
Views
3K
  • · Replies 14 ·
Replies
14
Views
2K