Finding acceleration from position formula

Click For Summary

Homework Help Overview

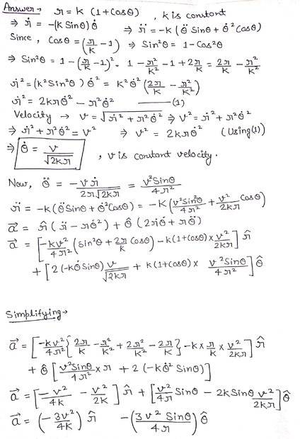
The discussion revolves around finding the acceleration of a particle moving along a cardioid path described by the position formula r = k(1+cosθ). Participants are exploring the process of differentiation to derive velocity and acceleration from the position function.

Discussion Character

  • Exploratory, Conceptual clarification, Mathematical reasoning

Approaches and Questions Raised

  • Participants discuss the need to differentiate the position formula twice with respect to time to find acceleration. There is a question about whether the original poster is differentiating with respect to the correct variable and the implications of using the chain rule. Some participants also raise points about the distinction between velocity and speed.

Discussion Status

The discussion is ongoing, with participants providing guidance on differentiation techniques and clarifying concepts related to velocity and acceleration. There are multiple interpretations being explored, particularly regarding the correct application of differentiation and the terminology used.

Contextual Notes

There is a mention of potential confusion regarding the differentiation process and the use of implicit differentiation. Participants are also considering the implications of constant velocity versus constant speed in the context of the problem.

guyvsdcsniper
Messages
264
Reaction score
37
Homework Statement
A particle moves with constant velocity v along the curve r = k(1+cosθ) (a cardioid), where
k is a constant. Find the acceleration of the particle (a), a· rˆ, |a|, and θ˙.
Relevant Equations
a = dV/dt
I am trying to follow the solution to the following problem, both linked in the attachment.

When trying to find the acceleration, a, that should be taking the derivative of r, the position formula twice. When doing so I get v = -ksinθ and a = -kcosθ. The attached work shows v being -(ksinθ)θ' which also leads to them getting a different answer for acceleration. Am i approaching this problem the wrong way?
 

Attachments

  • Screen Shot 2022-01-11 at 2.30.33 PM.png
    Screen Shot 2022-01-11 at 2.30.33 PM.png
    7.3 KB · Views: 154
  • r+costheta.jpeg
    r+costheta.jpeg
    40.5 KB · Views: 146
Physics news on Phys.org
quittingthecult said:
Homework Statement:: A particle moves with constant velocity v along the curve r = k(1+cosθ) (a cardioid), where
k is a constant. Find the acceleration of the particle (a), a· rˆ, |a|, and θ˙.
Relevant Equations:: a = dV/dt

I am trying to follow the solution to the following problem, both linked in the attachment.

When trying to find the acceleration, a, that should be taking the derivative of r, the position formula twice. When doing so I get v = -ksinθ and a = -kcosθ. The attached work shows v being -(ksinθ)θ' which also leads to them getting a different answer for acceleration. Am i approaching this problem the wrong way?
To find the velocity and acceleration you need to differentiate twice with respect to time. You appear to have differentiated wrt ##\theta##. Using the chain rule, you must then multiply by the derivative of that wrt time.
 
  • Like
Likes   Reactions: Charles Link
Maybe a bit pedantic but….

The velocity (a vector) can’t be constant because its direction is constantly changing.

The question and the model answer should refer to the speed (not the velocity) as being constant.
 
  • Like
Likes   Reactions: robphy, sysprog, SammyS and 1 other person
haruspex said:
To find the velocity and acceleration you need to differentiate twice with respect to time. You appear to have differentiated wrt ##\theta##. Using the chain rule, you must then multiply by the derivative of that wrt time.
Since I am differentiating with respect to time, this becomes implicit differentiation?
 
quittingthecult said:
implicit differentiation
Yes, which is just an example of the chain rule.
 

Similar threads

  • · Replies 6 ·
Replies
6
Views
1K
  • · Replies 10 ·
Replies
10
Views
2K
  • · Replies 5 ·
Replies
5
Views
3K
Replies
16
Views
1K
Replies
13
Views
6K
  • · Replies 5 ·
Replies
5
Views
1K
  • · Replies 6 ·
Replies
6
Views
2K
  • · Replies 28 ·
Replies
28
Views
3K
  • · Replies 2 ·
Replies
2
Views
5K
  • · Replies 26 ·
Replies
26
Views
4K