Finding average angle in kinetic theory of gases

Click For Summary

Homework Help Overview

The discussion revolves around calculating the average angle of particles hitting a plane boundary in the context of kinetic theory of gases. The original poster seeks to understand how to derive the average angle and its implications for calculating the average distance traveled by particles.

Discussion Character

  • Conceptual clarification, Assumption checking, Mathematical reasoning

Approaches and Questions Raised

  • Participants explore the need to calculate the average of cos(θ) rather than the average angle itself. There is a discussion about the correct interpretation of the angle θ, whether it is measured from the normal or the plane.

Discussion Status

Some participants have provided clarifications regarding the definition of θ and its implications for the calculations. There is an ongoing exploration of the integral for the average value of cos(θ) and the normalization of probability distributions, with differing views on the setup and calculations involved.

Contextual Notes

The original poster notes a correction regarding the measurement of the angle, indicating a misunderstanding in the initial setup. There is an emphasis on ensuring clarity in the definitions used for angles in relation to the plane and the normal.

Kevin Willis
Messages
25
Reaction score
3

Homework Statement



"Show that particles hitting a plane boundary have traveled a distance 2λ/3 perpendicular to the plane since their last collision, on average."

Homework Equations


(Root mean path squared) <x> = 2^(.5)λ

λ = ( 2^(.5) * n * sigma )^(-1)

ANSWER:
upload_2015-2-17_11-49-17.png

The Attempt at a Solution


[/B]
I already knew I needed <x cos(theta)>.
The book tells me that I can split x and cos(theta) apart by this rule:
"
upload_2015-2-17_11-51-35.png
"

My issue is that I do not understand how to calculate the average angle. I know the boundaries are 0 < theta < pi/2.
I would expect the average angle to be pi/4.

upload_2015-2-17_12-2-58.png


(NOTE: I measured the angle from the plane and should have shown measurement from the z axis down to satisfy the cos(theta).

So I figured that if I can just determine the average angle, I could plug it into <x> * cos(theta) and I would be done. However, that does not seem to work.

Upon looking at the answer, I am clueless of what they are doing in the angle integral:
upload_2015-2-17_12-5-39.png
. Why is sin(theta) here?

I am also unsure why they are taking the mean probability distributions
upload_2015-2-17_12-7-27.png
and dividing them by the integral of the probability functions
upload_2015-2-17_12-8-29.png
.And lastly, I don't understand why they included the velocity function, even though it just cancels out anyways.

Thanks.
 
Last edited:
Physics news on Phys.org
Kevin Willis said:
I do not understand how to calculate the average angle.
But you don't want the average angle - you want the average of cos(θ).
Despite the diagram, I believe θ here is the angle to the normal. Consider a hemisphere centred on the impact point on the wall. Particles come equally likely from each small area element on the hemisphere. For the region between θ and θ+dθ from the normal, what area is that? What integral can you write down for the average of cos(θ)?
 
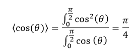
upload_2015-2-20_14-54-1.png

This should be the average of cos(θ).
 

Attachments

  • upload_2015-2-20_14-52-58.png
    upload_2015-2-20_14-52-58.png
    1.3 KB · Views: 679
Kevin Willis said:
View attachment 79367
This should be the average of cos(θ).
Not sure we're in agreement over which angle is theta. Since you are interested in perpendicular distance and are taking that as cos(theta), I believe theta is the angle to the normal. But in your diagram you mark an angle to the plane, and the above calculation also seems to be taking it as the angle to the plane.
 
I do mean angle from the normal. In the OP I wrote "(NOTE: I measured the angle from the plane and should have shown measurement from the z axis down to satisfy the cos(theta)." directly under the diagram.

So, cos(theta) here is measuring perpendicular distance. Parallel would be sin(theta). I have submitted the correction below to clear any misunderstandings.
upload_2015-2-20_15-49-30.png
 
Kevin Willis said:
I do mean angle from the normal. In the OP I wrote "(NOTE: I measured the angle from the plane and should have shown measurement from the z axis down to satisfy the cos(theta)." directly under the diagram.

So, cos(theta) here is measuring perpendicular distance. Parallel would be sin(theta). I have submitted the correction below to clear any misunderstandings.View attachment 79369
Ok, then I disagree with your integral for the average value of cos theta. How do you arrive at that?
 
Kevin Willis said:

Homework Statement



I am also unsure why they are taking the mean probability distributions View attachment 79220and dividing them by the integral of the probability functions View attachment 79221.

Oh, that part I know. It's normalization. Depending on how you define that probability density its integration over all domain might not be 1, so you want to make sure the value you're calculating gets normalized.
 

Similar threads

  • · Replies 4 ·
Replies
4
Views
3K
Replies
14
Views
3K
  • · Replies 6 ·
Replies
6
Views
2K
  • · Replies 3 ·
Replies
3
Views
3K
  • · Replies 5 ·
Replies
5
Views
2K
  • · Replies 4 ·
Replies
4
Views
2K
  • · Replies 3 ·
Replies
3
Views
2K
  • · Replies 6 ·
Replies
6
Views
2K
  • · Replies 6 ·
Replies
6
Views
3K