Finding pressure with given radius

  • Thread starter Thread starter Acuben
  • Start date Start date
  • Tags Tags
    Pressure Radius
Click For Summary
SUMMARY

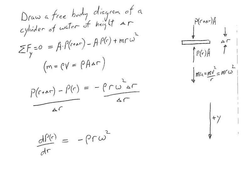
The discussion focuses on calculating pressure within a test tube filled with water being spun in an ultracentrifuge at a constant angular velocity (ω). The derived formula for pressure at any radius r is P = 1/2 (ρ)(ω)^2 + P(atm), where ρ represents the density of water. The specific case presented involves an angular velocity of 3.8 x 10^5 rad/s and a radius of 10 cm, questioning the pressure at r = 13 cm. The distinction between gauge pressure and atmospheric pressure is also addressed, clarifying that they are not the same.

PREREQUISITES
  • Understanding of centripetal acceleration and its relation to angular velocity (ω)
  • Knowledge of pressure equations, specifically P = P(atm) + (ρ)g(h)
  • Familiarity with the concepts of gauge pressure versus atmospheric pressure
  • Basic principles of fluid dynamics and density calculations
NEXT STEPS
  • Research the derivation of pressure formulas in rotating fluids
  • Learn about the effects of angular velocity on fluid pressure in ultracentrifuges
  • Explore the differences between gauge pressure and absolute pressure in practical applications
  • Examine real-world applications of pressure calculations in laboratory settings
USEFUL FOR

Students in physics or engineering, particularly those studying fluid dynamics, as well as professionals working with centrifugation processes and pressure measurement techniques.

Acuben
Messages
61
Reaction score
0

Homework Statement


http://img585.imageshack.us/img585/613/labnotebookq.gif

Uploaded with ImageShack.us
A Test tube filled with water i being spun around in an ultracentrifuge with constant angular velocity, w (w = omega). The test tube i slying along a radius and revolving in a horizontal plane. The free surface of the water is at radius r(0) (with smaller parenthesis) as shown

a) show that the pressure at any raidus r within the tube is given by: P=1/2 (row)(omega)^2+P(atm)

b)suppose that w=3.8x10^5 rad/s and r(0)=10cm, what is pressure at r=13
Does it matter whether it's gauge or atmospheric pressure?

question, is it asking whether gauge pressure and actually pressure are the same?

Homework Equations


centripetal acceleration =v^2/r = r(omega)^2
Pressure= P(atm) + (row)*g*h
where row is density, g is gravity (or acceleration in this case), and h is dept
density = (row) = m/V = mass over volume



The Attempt at a Solution


took simple approach
a= r(omega)^2

and used this "a" (acceleration) as"g" (gravity)
and r-r(0) (since that's the dept of watr) as h
so using Pressure= P(atm) + (row)*g*h
P= P(atm) + (density of water)*r*(omega)^2*(r-r(0))
in symbols :P
P= P(atm)+p*r*w^2(r-r(0))
but this doesn't match the answer ;)
 
Last edited by a moderator:
Physics news on Phys.org
This is how I would start, does this work?
 

Attachments

  • rotate015.jpg
    rotate015.jpg
    21.2 KB · Views: 759

Similar threads

  • · Replies 13 ·
Replies
13
Views
2K
  • · Replies 1 ·
Replies
1
Views
2K
  • · Replies 5 ·
Replies
5
Views
3K
  • · Replies 7 ·
Replies
7
Views
2K
Replies
3
Views
2K
  • · Replies 18 ·
Replies
18
Views
2K
  • · Replies 3 ·
Replies
3
Views
2K
  • · Replies 3 ·
Replies
3
Views
1K
  • · Replies 23 ·
Replies
23
Views
6K
  • · Replies 1 ·
Replies
1
Views
3K