Finding the intermediate height of a ball in terms of its maximum height

Click For Summary

Homework Help Overview

The problem involves determining the height of a ball at a point B during its ascent, given its maximum height at point A. The relationship between the heights is to be expressed in terms of the maximum height, with specific time intervals provided for the ascent.

Discussion Character

  • Exploratory, Assumption checking, Mathematical reasoning

Approaches and Questions Raised

  • The original poster attempts to use the SUVAT equations to relate the heights and times but questions the validity of their assumption regarding the initial velocity. Other participants suggest reconsidering the initial conditions and applying the equations from different points in the motion.

Discussion Status

Participants are actively discussing the problem, with some guidance provided regarding the assumptions made about initial velocity. There is a shift in approach suggested, focusing on working backward from the peak of the trajectory, which has led to a new expression for the height at point B.

Contextual Notes

The original poster expresses confusion over variable names and the complexity of the problem setup, indicating a need for clarity in the problem statement and potentially a diagram to aid understanding.

SelzerRS
Messages
4
Reaction score
2
Homework Statement
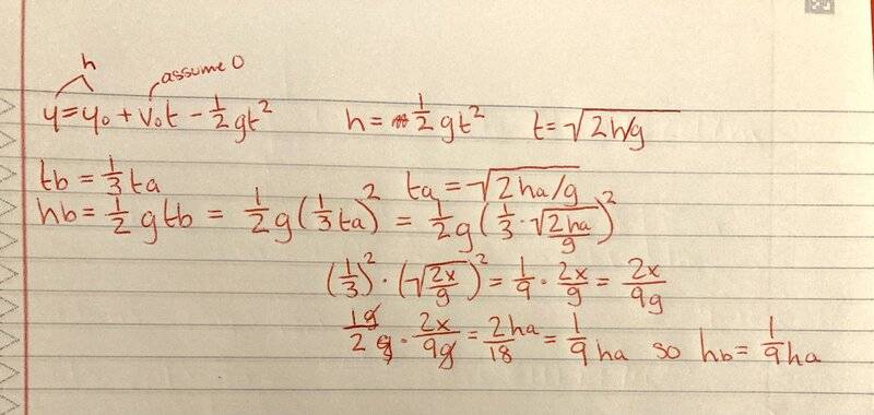
A Ball is thrown up from the ground (point O). On its way up it passed a point B. The time it takes to reach B is tB = 1/3 tA. Find the height of OB = hB in terms of OA = hA. (point A is it’s maximum height)
Relevant Equations
y = y0 + v0t - 1/2gt^2
h= 1/2 gt^2
v = v0 + at
IMG_4786.jpeg

Ive done this problem two different ways (sorry it’s messy) and keep getting hB = 1/9 hA, but my homework says it’s wrong. I’m guessing it’s because I assume that v0 is 0, but I’m not sure what other formulas or steps I need to take to either find or omit the variable. Are there any other formulas I need to take into account?
IMG_4788.jpeg
 
Physics news on Phys.org
SelzerRS said:
Homework Statement: A Ball is thrown up from the ground (point O). On its way up it passed a point B. The time it takes to reach B is tB = 1/3 tA. Find the height of OB = hB in terms of OA = hA. (point A is it’s maximum height)
It took a couple tries for me to read through this successfully. Too many variable names. No matter. I am with you so far.

SelzerRS said:
Relevant Equations: y = y0 + v0t - 1/2gt^2
h= 1/2 gt^2
v = v0 + at

View attachment 350575
It looks like you are trying to do things the obvious way, using the SUVAT equation for the final position, given the initial velocity at time zero (unknown), the acceleration (##g##) and the elapsed time (##t##).

You assume that the initial velocity is zero. But that assumption is obviously incorrect.

And things go downhill from there.
SelzerRS said:
Ive done this problem two different ways (sorry it’s messy) and keep getting hB = 1/9 hA, but my homework says it’s wrong. I’m guessing it’s because I assume that v0 is 0, but I’m not sure what other formulas or steps I need to take to either find or omit the variable. Are there any other formulas I need to take into account?
You are exactly right about the problem with the assumption.

What happens if you apply the same SUVAT equation, but starting from the moment that the ball reaches the peak of its trajectory and working backward?
 
  • Like
Likes   Reactions: SelzerRS
jbriggs444 said:
It took a couple tries for me to read through this successfully. Too many variable names. No matter. I am with you so far.


It looks like you are trying to do things the obvious way, using the SUVAT equation for the final position, given the initial velocity at time zero (unknown), the acceleration (##g##) and the elapsed time (##t##).

You assume that the initial velocity is zero. But that assumption is obviously incorrect.

And things go downhill from there.

You are exactly right about the problem with the assumption.

What happens if you apply the same SUVAT equation, but starting from the moment that the ball reaches the peak of its trajectory and working backward?
Thank you so much! I was able to get to hB = 5/9 hA. Setting the peak as the initial velocity really helped!!
 
jbriggs444 said:
It took a couple tries for me to read through this successfully.
👆

In the future perhaps just immediately add a correct diagram.
 
  • Like
Likes   Reactions: SelzerRS

Similar threads

Replies
7
Views
3K
  • · Replies 4 ·
Replies
4
Views
3K
  • · Replies 5 ·
Replies
5
Views
3K
  • · Replies 2 ·
Replies
2
Views
5K
  • · Replies 14 ·
Replies
14
Views
4K
  • · Replies 9 ·
Replies
9
Views
5K
  • · Replies 9 ·
Replies
9
Views
3K
  • · Replies 5 ·
Replies
5
Views
4K
  • · Replies 8 ·
Replies
8
Views
4K
Replies
14
Views
4K