Fixing My Calculus Mistake: Need Help for Midterm Review | No Quotation Marks

  • Context: Undergrad 
  • Thread starter Thread starter PloKoon
  • Start date Start date
Click For Summary

Discussion Overview

The discussion revolves around a participant seeking help with calculus concepts in preparation for a midterm exam. The participant expresses a desire to understand the material rather than simply obtain answers, highlighting a lack of attendance in previous lectures and a need to rectify mistakes made in Calculus I and II.

Discussion Character

  • Homework-related
  • Meta-discussion

Main Points Raised

  • The original poster (OP) acknowledges not attending any Calculus I lectures and expresses concern over repeating mistakes in Calculus II.
  • The OP requests assistance with specific questions but emphasizes a desire to understand the concepts rather than just receive answers.
  • Some participants suggest that the OP should review their textbook instead of seeking help online, indicating that time may be better spent studying independently.
  • There is a suggestion that the OP may be in the wrong forum for immediate help and should consider hiring a tutor for urgent assistance.
  • Another participant points out that the nature of the questions suggests they could be considered homework, which raises concerns about the appropriateness of the request for help.
  • Additional advice includes seeking help from a classmate or utilizing online resources like Khan Academy for concept review.

Areas of Agreement / Disagreement

Participants generally disagree on the appropriateness of the OP's request for help, with some viewing it as a homework question while others suggest alternative methods of study. The discussion remains unresolved regarding the best course of action for the OP.

Contextual Notes

There are limitations in the discussion regarding the OP's specific questions, which are not provided, and the lack of evidence to support claims about the nature of the questions being homework-related.

PloKoon
Messages
2
Reaction score
0
Hi all.
Before I ask questions just want to say that this not an homework or exam questions. Just a review for Midterm.
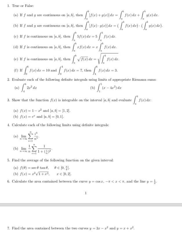
I did a mistake which was a simple but also an important one. I didn't not attend my any Calculus I lectures. I was quite lucky to pass it with B+. As a result of it I did the same mistake at Calculus II and I have a midterm tomorrow. I found some questions which might help me for exam. There were more than 50 questions in it but I'll just post the part that I couldn't solve.
I'll appreciate any help I can get.
At last I understand the mistake I did and I'll recover it for sure.
All in all, I'm begging you to help me to fix my mistake.
A little edit: I don't want to see the answer itself. I want to understand it. If I need to say it in other way, you can tell me what to do. Memorizing the answer won't do any improvement to me anyway.
Just noticed I spoke a lot. :)
Have a good day/night!
 

Attachments

  • Ekran Resmi 2019-03-16 12.48.23.png
    Ekran Resmi 2019-03-16 12.48.23.png
    28.4 KB · Views: 359
Physics news on Phys.org
PloKoon said:
you can tell me what to do
Read the guidelines first, then show an effort and post it

[edit]perhaps you are in the wrong place and you should hire an emergency tutor
 
BvU said:
[edit]perhaps you are in the wrong place and you should hire an emergency tutor
I have directed here. No idea about the processing
You might be right.
 
PloKoon said:
I didn't not attend my any Calculus I lectures. I was quite lucky to pass it with B+. As a result of it I did the same mistake at Calculus II and I have a midterm tomorrow.

Your short remaining time would be better spent with your textbook than questions on the Internet.
 
This is homework, because it could be homework. We have no evidence other than the nature of the questions.
These are many questions, and we require only one per thread, and we require some effort from the OP to solve it.

Thread closed.
 
Thread addendum:

As was explained before, you can’t expect the internet to respond in a timely fashion even if it’s a personal emergency. Some questions take weeks before someone decides to answer it if at all.

I would go the tutor route myself by finding a really smart classmate familiar with the course and teacher.

Barring getting an emergency tutor, you might take a look at Khan Academy or the MathIsPower4u.com websites. In particular, the mathispower website has ten minute videos introducing a single concept or solving a single example problem.

http://www.mathispower4u.com/calc-ii.php
 

Similar threads

  • · Replies 5 ·
Replies
5
Views
3K
  • · Replies 11 ·
Replies
11
Views
3K
  • · Replies 8 ·
Replies
8
Views
4K
  • · Replies 10 ·
Replies
10
Views
3K
  • · Replies 13 ·
Replies
13
Views
3K
  • · Replies 39 ·
2
Replies
39
Views
5K
  • · Replies 10 ·
Replies
10
Views
4K
  • · Replies 3 ·
Replies
3
Views
4K
  • · Replies 2 ·
Replies
2
Views
2K
  • · Replies 1 ·
Replies
1
Views
2K