Force between electric dipoles along the dipole axis

Click For Summary

Homework Help Overview

The discussion revolves around calculating the force between two identical electric dipoles, specifically focusing on the setup described in a textbook problem. Participants are exploring the relationship between this force and similar forces involving point charges, particularly in terms of distance between the objects involved.

Discussion Character

  • Exploratory, Conceptual clarification, Mathematical reasoning, Problem interpretation, Assumption checking

Approaches and Questions Raised

  • Participants discuss calculating the force on each charge of a dipole using the electric field equation and Coulomb's law. There is confusion regarding the appropriate distances to use in the calculations. The potential utility of the binomial approximation is mentioned, along with the need to consider higher-order terms in the small quantity s/r.

Discussion Status

The discussion is active, with participants sharing their approaches and questioning assumptions about the calculations. Some guidance has been offered regarding the use of approximations and the need to clarify expressions for the forces involved. There is no explicit consensus yet, but participants are collaboratively refining their understanding.

Contextual Notes

Participants are working under the constraints of a homework assignment, which may limit the methods they can use. There are ongoing discussions about the validity of certain approximations and the implications of small quantities in their calculations.

NihalRi
Messages
134
Reaction score
12

Homework Statement


Compute the force between two identical dipoles. See Problem P63 on page 544 to set up the problem. Explain why this result makes sense by comparing it to the force between two point charges and the force between a point charge and a dipole, in terms of the relationship to the distance between the two objects.
P64 shows the two dipoles that are parallel and in the same orientation, separated by a distance r from their centers and have a distance of s between them. The charges that make up the dipole are -q and +q.

Homework Equations


E(dipole)=2kqs/r^3

The Attempt at a Solution


I thought I would calculate the force on each charge of the dipole on the right by using the equation above and F=Eq. Then I would add the two. For r, I'm confused about weather I should use (r+s/2) and (r-s/2).When I tried this, I couldn't find a way to simplify to the desired answer which I know is 6kq^2s^2/r^4.
Thanks so much for any help in advance.
 
Physics news on Phys.org
NihalRi said:

The Attempt at a Solution


I thought I would calculate the force on each charge of the dipole on the right by using the equation above and F=Eq. Then I would add the two.
Sounds good.
For r, I'm confused about weather I should use (r+s/2) and (r-s/2). When I tried this, I couldn't find a way to simplify to the desired answer which I know is 6kq^2s^2/r^4.
I think you have a good approach. The "binomial approximation" might be of use.
https://en.wikipedia.org/wiki/Binomial_approximation
 
  • Like
Likes   Reactions: NihalRi
TSny said:
Sounds good. I think you have a good approach. The "binomial approximation" might be of use.
https://en.wikipedia.org/wiki/Binomial_approximation
My teacher just told me to do it differently by calculating four forces using coulomb's law. How do binomial approximations work, I know how to do regular binomial expansions.
 
NihalRi said:
My teacher just told me to do it differently by calculating four forces using coulomb's law. How do binomial approximations work, I know how to do regular binomial expansions.
Doing it this way, I think you will need to go beyond the binomial expansion (i.e., beyond first order in the small quantity s/r).

Let's see your expressions for the forces on each charge of the dipole on the right.
 
  • Like
Likes   Reactions: NihalRi
TSny said:
Doing it this way, I think you will need to go beyond the binomial expansion (i.e., beyond first order in the small quantity s/r).

Let's see your expressions for the forces on each charge of the dipole on the right.
 
TSny said:
Doing it this way, I think you will need to go beyond the binomial expansion (i.e., beyond first order in the small quantity s/r).

Let's see your expressions for the forces on each charge of the dipole on the right.
WIN_20161003_21_23_22_Pro.jpg
 
OK, this looks correct for the net force on the dipole. You need to approximate this expression using the condition that s << r; or, equivalently, s/r << 1. Can you manipulate each of the last two terms in F so that they are expressed in terms of the small quantity s/r?
 
Last edited:
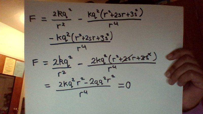
TSny said:
OK, this looks correct for the next force on the dipole. You need to approximate this expression using the condition that s << r; or, equivalently, s/r << 1. Can you manipulate each of the last two terms in F so that they are expressed in terms of the small quantity s/r?
WIN_20161003_22_07_50_Pro.jpg
 
made an error,
WIN_20161003_22_10_34_Pro.jpg
 
  • #10
OK. Looks good. Do you know how to approximate ##\frac{1}{(1+s/r)^2}##?
 
  • #11
TSny said:
OK. Looks good. Do you know how to approximate ##\frac{1}{(1+s/r)^2}##?
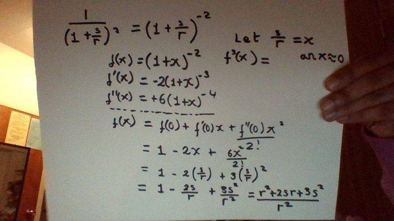
unfortunately not, does it have something to do with a McLaurin expansion? I couldn't find any clear explanation online.
 
  • #14
You're almost there. You have a sign error in the first equation of the second picture. The expansion of ##\frac{1}{(1+s/r)^2}## does not equal the expansion of ##\frac{1}{(1-s/r)^2}##.

I don't quite follow your cancellations in the second equation of the second picture.
 
  • #15
TSny said:
You're almost there. You have a sign error in the first equation of the second picture. The expansion of ##\frac{1}{(1+s/r)^2}## does not equal the expansion of ##\frac{1}{(1-s/r)^2}##.

I don't quite follow your cancellations in the second equation of the second picture.
I'll fix the signs :D. I thought that since s is much smaller than r, the terms with s In them will be negligible.
 
  • #16
Okay so I fixed the signs and just expanded and found that it simplified to the right answer XD XD XD, thank you so soooo soooo much
 
  • #17
Good work!
 
  • Like
Likes   Reactions: NihalRi

Similar threads

  • · Replies 14 ·
Replies
14
Views
3K
  • · Replies 5 ·
Replies
5
Views
1K
  • · Replies 4 ·
Replies
4
Views
3K
Replies
4
Views
5K
  • · Replies 1 ·
Replies
1
Views
5K
  • · Replies 1 ·
Replies
1
Views
3K
  • · Replies 19 ·
Replies
19
Views
3K
  • · Replies 1 ·
Replies
1
Views
2K
Replies
1
Views
2K
  • · Replies 10 ·
Replies
10
Views
1K