Force on a charge from a nearby charged rod

Click For Summary
SUMMARY

The discussion focuses on calculating the force on a charge q due to a uniformly charged rod with charge Q. The relevant equation derived is dF = (k*q*Q / 2L) * (1/r^2) dy, where r^2 = D^2 + y^2. The confusion arises regarding the appearance of R^(-3) in the integral, which relates to the vector nature of electric fields and the proper integration of vector components. The final solution correctly computes the total force on charge q in the x-direction.

PREREQUISITES
  • Understanding of electric fields and forces between charges
  • Familiarity with calculus, specifically integration techniques
  • Knowledge of vector addition in physics
  • Basic concepts of electrostatics, including Coulomb's law
NEXT STEPS
  • Study the derivation of electric field equations from point charges
  • Learn about vector calculus in the context of physics
  • Research the application of integration in calculating forces in electrostatics
  • Explore the concept of electric field lines and their implications for force direction
USEFUL FOR

Students studying electromagnetism, physics educators, and anyone interested in the mathematical foundations of electrostatic forces.

cherry
Messages
25
Reaction score
6
Homework Statement
An electric charge of Q = 6.4 C is distributed uniformly along a rod of length 2L, extending from y = -15.6 cm to y = +15.6 cm, as shown in the diagram. A charge q = 3.05 C, and the same sign as Q, is placed at (D,0), where D = 44 cm. Integrate to compute the total force on q in the x-direction.
Relevant Equations
dF=(kqQ/2Lr^2)dy
Hi! My attempt at this solution was:

∫dF = k*q*Q / 2L ∫ (1/r^2) dy

and we know that r^2 = D^2 + y^2 based on the diagram.
Screenshot 2024-01-28 at 3.25.30 PM.png


Here is where I start getting confused.
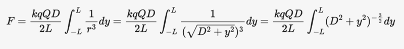
I looked at a different physics forum post and the mentor gave this equation:
Screenshot 2024-01-28 at 3.27.56 PM.png


I am mainly confused with the math.
How did he end up with R^(-3) inside the integral?
Otherwise, I ended up solving the integral and getting the right answer.

Thanks!
 
Physics news on Phys.org
cherry said:
Homework Statement: An electric charge of Q = 6.4 C is distributed uniformly along a rod of length 2L, extending from y = -15.6 cm to y = +15.6 cm, as shown in the diagram. A charge q = 3.05 C, and the same sign as Q, is placed at (D,0), where D = 44 cm. Integrate to compute the total force on q in the x-direction.
Relevant Equations: dF=(kqQ/2Lr^2)dy

Hi! My attempt at this solution was:

∫dF = k*q*Q / 2L ∫ (1/r^2) dy

and we know that r^2 = D^2 + y^2 based on the diagram.
View attachment 339345

Here is where I start getting confused.
I looked at a different physics forum post and the mentor gave this equation:
View attachment 339346

I am mainly confused with the math.
How did he end up with R^(-3) inside the integral?
Otherwise, I ended up solving the integral and getting the right answer.

Thanks!
Look at Post #3 in the thread that you gave the link for.
 
The electric field at point D due to charge ##dq## is a vector that has a magnitude and a direction.
As shown in the figure, the magnitude is ##dE=\dfrac{kQ~dy}{2L(D^2+y^2)}##.
In what direction does this vector contribution point?
An integral is an addition. How do you add vectors?
 

Similar threads

  • · Replies 7 ·
Replies
7
Views
1K
Replies
1
Views
933
  • · Replies 11 ·
Replies
11
Views
2K
Replies
3
Views
2K
  • · Replies 13 ·
Replies
13
Views
3K
Replies
4
Views
1K
  • · Replies 1 ·
Replies
1
Views
2K
  • · Replies 5 ·
Replies
5
Views
2K
  • · Replies 19 ·
Replies
19
Views
2K
  • · Replies 5 ·
Replies
5
Views
2K