Forces (moment of inertia) Question

Click For Summary

Homework Help Overview

The discussion revolves around a physics problem involving forces and moment of inertia, specifically related to a pulley system with two blocks. The original poster seeks clarification on the moment of inertia of the pulley and its application in solving the problem.

Discussion Character

  • Conceptual clarification, Assumption checking

Approaches and Questions Raised

  • Participants explore the definition and calculation of the moment of inertia for the pulley, questioning the application of the formula provided. There is discussion about whether to consider additional masses in the moment of inertia calculation.

Discussion Status

Some participants have provided guidance on how to approach the moment of inertia, suggesting that the pulley should be treated as a separate object. The conversation indicates a shift in understanding for the original poster, who expresses newfound clarity regarding the teacher's approach.

Contextual Notes

There is mention of an attachment that contains the teacher's answer, which seems to be a point of contention regarding the correct application of the moment of inertia formula. The original poster also notes a time constraint, indicating urgency in resolving the question.

Lord Dark
Messages
120
Reaction score
0

Homework Statement


hi everyone,, I need an explanation for this question:
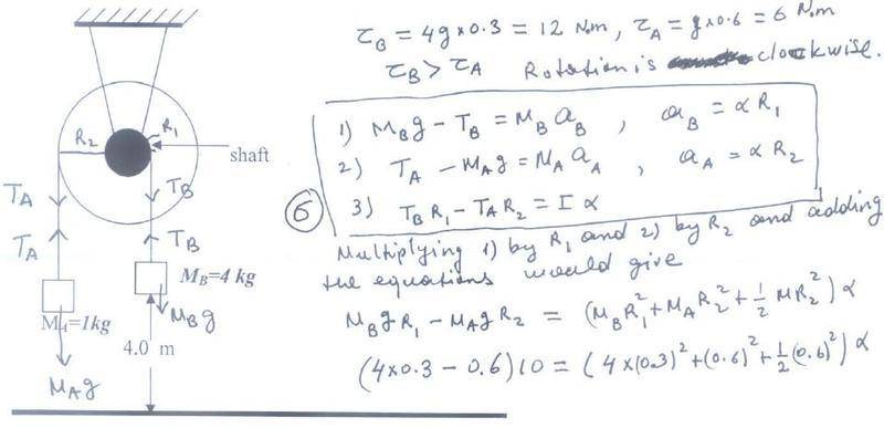
A 1.0 kg block A is hanged by a light string from a pulley of mass
M = 1.0 kg. Another block B of mass 4.0 kg is attached to a mass-less rope wound around a mass-less shaft. The pulley has a radius 260.0 Rcm= and the shaft has a radius. The block B is released from rest when it is at height h = 4.0 m above the ground. 130.0 cm R=
The rotational inertia (moment of inertia) of the pulley with respect to its center of mass is.
I(com)=0.5*M*R2^2

(a) Find the angular acceleration of the pulley.
(b) Find the accelerations of the blocks.
(c) Determine the tensions in the strings.
(d) Find the speeds of the block A and block B just before the block B hits the ground.

Homework Equations


The Attempt at a Solution


Actually ,, I have the answer ,, but the problem I don't know how did he get the moment of inertia like that (in the attachment)
 

Attachments

  • Q5.JPG
    Q5.JPG
    39.9 KB · Views: 473
  • ANQ5.JPG
    ANQ5.JPG
    31.9 KB · Views: 468
Physics news on Phys.org
Lord Dark said:
Actually ,, I have the answer ,, but the problem I don't know how did he get the moment of inertia like that (in the attachment)
You have the mass of the pulley and are told the equation to use to find its moment of inertia. Maybe you can restate your question.
 
I mean shouldn't I=I(com)+M1R1^2+M2R2^2 ??
 
Lord Dark said:
I mean shouldn't I=I(com)+M1R1^2+M2R2^2 ??
No, those masses are not rigidly attached to the pulley. The only thing rotating here is the pulley. Treat this as three separate objects: m1, m2, and m3.
 
then the teacher's answer is wrong ? and TbR1-TaR2=I(com)*alfa only ?? not like his answer ? (in the attachment)
 
Lord Dark said:
then the teacher's answer is wrong ? and TbR1-TaR2=I(com)*alfa only ?? not like his answer ? (in the attachment)
What makes you think that the teacher is doing anything other than TbR1-TaR2=I(com)*alfa? (Where I is just the rotational inertia of the pulley.) That's his equation #3.

(You could lump them all together, but I would not advise it. Do it like your teacher did. Write three separate equations, then combine them.)
 
aha ,, now I get it :) ,, actually I didn't focus on what he wrote ,, thanks again ,, am bothering you this day (my last day :D)
 

Similar threads

Replies
3
Views
2K
  • · Replies 40 ·
2
Replies
40
Views
6K
Replies
8
Views
15K
  • · Replies 9 ·
Replies
9
Views
2K
  • · Replies 1 ·
Replies
1
Views
1K
  • · Replies 8 ·
Replies
8
Views
4K
  • · Replies 42 ·
2
Replies
42
Views
4K
  • · Replies 2 ·
Replies
2
Views
1K
Replies
8
Views
2K