Formula for ionization potential reduction

Click For Summary
SUMMARY

The discussion centers on the reduction of ionization potential in high-density plasma, specifically regarding helium ions (He1+). The Stewart and Pyatt model, which incorporates the Debye length, is identified as a key framework for understanding this phenomenon. The Bohr model is suggested as a method to calculate the ionization potential of He1+ at ground state, considering the influence of electric fields in non-equilibrium systems such as those found in the sun. Further insights can be gained from the work of Smirnov, B. M. (2013) on the excitation of helium atoms in plasma collisions.

PREREQUISITES
  • Understanding of high-density plasma physics
  • Familiarity with the Stewart and Pyatt model
  • Knowledge of the Bohr model of hydrogen-like atoms
  • Basic principles of electric fields in non-equilibrium systems
NEXT STEPS
  • Research the Stewart and Pyatt model in detail
  • Study the Debye length and its implications in plasma physics
  • Explore the Bohr model applications for helium ions
  • Read "Excitation of helium atoms in collisions with plasma electrons in an electric field" by Smirnov, B. M. (2013)
USEFUL FOR

Physicists, plasma researchers, and students studying atomic interactions in high-density plasmas will benefit from this discussion.

Goldhelmeth
Messages
1
Reaction score
0
Homework Statement
Calculate the ionization potential reduction of He1+ in the framework of the Bohr model and
interpret the results concerning the existence of ground and excited states:
a) in the center of the sun,
b) for the average density of the sun at kTe=1300 eV.
Relevant Equations
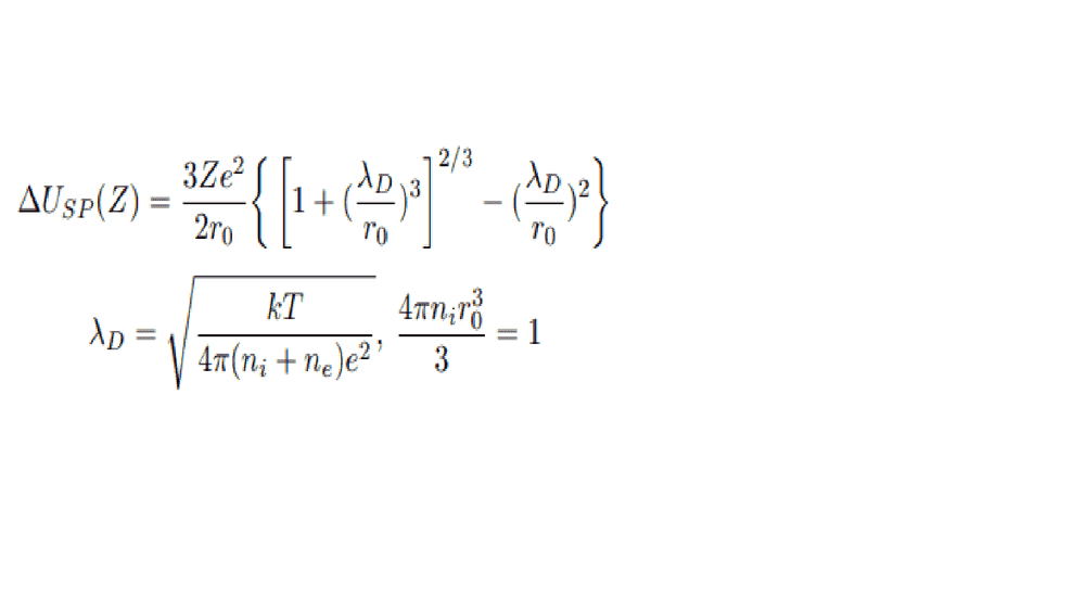
*see images
Hello,

Firstly I am not sure of understanding the problem, I believe that this reduction is related to a high density plasma where the free electrons are very close to the ions and so the ions cannot be considered as separate bodies... I also believe it affects the ground energy state of electrons inside hydrogen like atoms (helium +1).
For solving this problem I found that every solutions used the Stewart and Pyatt model. This model uses the debeye lengh. But as you can see it uses an other model... I wished I could provide more to the community to start with but I have been on this problem for hours and I cannot find annything...

Thank you for any help you may provide !
equation.png
 
Physics news on Phys.org
Firstly, I think we can solve the ionization potential of He1+ at ground state (1) easily with the Bohr model, as the atom now have 1 nucleus (with 2 protons) and 1 electron, similar to the Hydro atom with a larger nucleus.

In the sun, I understand that ionized gas (He1+) located in an electric field (a gas discharge plasma) is not an equilibrium system, therefore the Helium atoms might now "ground" at the new excited state, and we can calculate the corresponding ionization potential for both a) and b), thus deriving the reduction in ionization potential by subtracting (1). Although I'm not equipped with enough knowledge to determine the new excited state that of He1+ in a) and b), I think you can visit "Excitation of helium atoms in collisions with plasma electrons in an electric field " by Smirnov, B. M. (2013) to research more on the problem.
 

Similar threads

  • · Replies 3 ·
Replies
3
Views
3K
  • · Replies 2 ·
Replies
2
Views
4K
  • · Replies 12 ·
Replies
12
Views
12K
  • · Replies 0 ·
Replies
0
Views
990
  • · Replies 5 ·
Replies
5
Views
2K
  • · Replies 1 ·
Replies
1
Views
7K
  • · Replies 5 ·
Replies
5
Views
5K
  • · Replies 14 ·
Replies
14
Views
6K
  • · Replies 1 ·
Replies
1
Views
2K
  • · Replies 2 ·
Replies
2
Views
4K