Forward-in-time analysis of delayed-choice entanglement swapping

  • Context: Graduate 
  • Thread starter Thread starter Sambuco
  • Start date Start date
  • Tags Tags
    Causality Entanglement
Click For Summary

Discussion Overview

The discussion revolves around delayed-choice entanglement swapping (DCES) and its implications for causality, particularly focusing on a forward-in-time analysis presented in a paper by Mjevla. Participants are exploring the theoretical and experimental aspects of entanglement, including the nature of correlations in quantum mechanics and the interpretations of these phenomena.

Discussion Character

  • Exploratory
  • Technical explanation
  • Debate/contested

Main Points Raised

  • Lucas introduces a paper by Mjevla that proposes a forward-in-time analysis of DCES, suggesting it avoids backward influence due to the Bell State Measurement (BSM).
  • One participant expresses appreciation for Mjevla's work, noting its relevance to previous discussions and its grounding in both experimental and theoretical contexts.
  • There is a mention of "Collider Bias" as a potential loophole in entanglement swapping experiments, with references to works by Huw Price and Ken Wharton that discuss this concept.
  • Participants discuss the distinction between "W" shaped and "V" shaped Bell experiments, with "W" representing entanglement swapping and "V" representing traditional entanglement.
  • One participant emphasizes the importance of EPR perfect correlations and argues that any explanation of entanglement must account for these correlations without invoking nonlocality.
  • Another participant raises skepticism about the explanations provided by Price and Wharton regarding Bell correlations, particularly in the context of EPR cases.
  • There is a proposal that interpretations of entanglement should be able to explain both EPR and Bell correlations, with a focus on the outcomes of multiple photons in entanglement swapping experiments.

Areas of Agreement / Disagreement

Participants express differing views on the implications of Mjevla's analysis, particularly regarding the role of the BSM in establishing correlations. There is no consensus on the interpretations of entanglement or the validity of the proposed models.

Contextual Notes

Participants acknowledge the complexity of the arguments surrounding entanglement and causality, highlighting the need for careful consideration of experimental results and theoretical frameworks. The discussion remains open-ended with various interpretations being explored.

  • #181
DrChinese said:
In the case you describe, Ma’s experiment, Morbert is correct. I’ve never said otherwise. The question is what happens when you arrange to start with |RR> for 1&4. This requires a simple modification to Ma’s setup, one they actually execute during setup but don’t report (my Ma-X). The result is a Product state for all 4 photons, just as Morbert claims. He says that leads to statistics matching a swap (because there is no actual swap). I say that’s impossible, and we already know that experimentally. I call this scenario Mjelva error #1.

Morbert said:
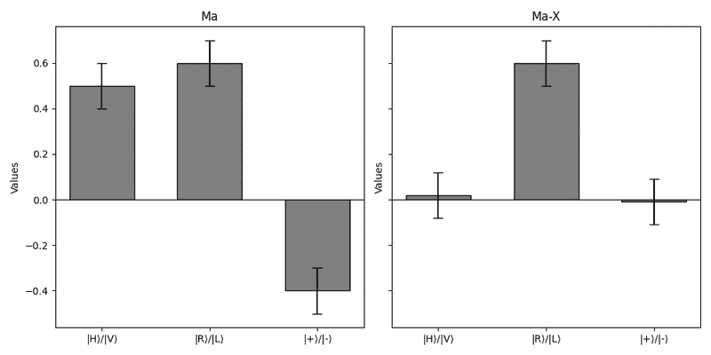
Replacing Ma's initial state with the Ma-X initial state leads to statistics matching a swap only in the R/L basis. Total statistics of course disagree, and you lose Bell/perfect correlations/anticorrelations you see across all three bases in the Ma experiment. I described and illustrated a comparison between Ma and Ma-X in #90. Here I will repost the relevant image.
View attachment 357293
You can see that the initial state of the Ma-X experiment will enforce correlation in the R/L basis, but not in the other two mutually unbiased bases.

In both Ma and Ma-X experiments, or any similar experiment, following Mjelva's prescription, or equivalently, physicsforum's prescription will get you the right predictions.
So I'm assuming @Morbert that the mockup Ma-X graph is for ##\ket{\phi^-}_{2,3}## results (like the version from Ma's paper is) correct? I ask because that's not strictly synonymous with Ma-X not getting any ##\ket{\phi^+}_{2,3}## results (in the specific setup we're all talking about). Would you agree they get no ##\ket{\phi^+}_{2,3}##?

Sambuco said:
If photons 2&3 were prepared in the state ##\ket{\Psi}_{2,3} = \ket{L}_2 \otimes \ket{L}_3##, Victor will get only two possible states, ##\ket{\phi^-}_{2,3}## or ##\ket{\psi^+}_{2,3}##.
Now that we've finally reached this point can we just run the Ma-X experiment and find out? :smile:

How about @PeterDonis? You have an opinion on this question about the Ma-X result?

(Unentangled anticorrelated photon pairs prepared in R/L basis, Alice and Bob have both measure |R>. When Victor does a BSM on photons 2+3 in the H/V basis can he get all 4 bell states or only two (##\ket{\phi^-}_{2,3}## or ##\ket{\psi^+}_{2,3}##)? (Or at least that Ma would NOT get any ##\ket{\phi^+}_{2,3}## results considering their BSM measuring limitations.)
 
  • Like
Likes   Reactions: DrChinese
Physics news on Phys.org
  • #182
eloheim said:
Unentangled anticorrelated photon pairs
This is an oxymoron. If the photons are anticorrelated, they are entangled.

eloheim said:
When Victor does a BSM on photons 2+3 in the H/V basis can he get all 4 bell states or only two
If all the photons are prepared initially in a state where none of them are entangled (as in the "Ma-X" scenario), Victor cannot get any Bell states whatever by doing a BSM. The BSM can only swap entanglements that were already prepared; it can't manufacture entanglements out of nothing.
 
  • Like
Likes   Reactions: javisot20
  • #183
PeterDonis said:
1. This is an oxymoron. If the photons are anticorrelated, they are entangled.

2. If all the photons are prepared initially in a state where none of them are entangled (as in the "Ma-X" scenario), Victor cannot get any Bell states whatever by doing a BSM. The BSM can only swap entanglements that were already prepared; it can't manufacture entanglements out of nothing.
A couple of technical comments related to the wording here, because it can be a bit confusing.

1. Type II PDC natively produces 100% "anticorrelated" pairs. They are "entangled" - sorta. For example, they are entangled on the basis of wavelength. But... they are not polarization entangled except in a small region of cone overlap (the V and H cones). See the diagram. So if you pull pairs outside that overlap region, they will in fact be "anticorrelated" in the sense that one is H and one is V. And you would know which is which.

So the use of the word "anti-correlated" might be somewhat stretched, as that almost always implies entanglement in the literature. Blame me for using that term instead of @eloheim . But here, it is only to distinguish Type II PDC (which is anti-correlated) from Type I PDC (which is correlated in the same sense as the other is anti-correlated).

Again, both Type I and Type II PDC do not produce polarization entangled pairs natively. Both require significant additional effort to have the final source be entangled in one of the Bell states. This extra effort is normally not described, so I provided references on that in a previous post.


2. No swapping can occur without 2 initially entangled pairs, exactly as you say. Absolutely forbidden, doesn't happen.

But... you can perform a successful BSM on just the 2 & 3 pair if they are indistinguishable. We have been discussing unentangled LL (or RR, I forget which now) as an input, which would qualify. I believe that will in fact place photons 2 & 3 in a Bell State, one of the 4. Of course, they will absolutely no use, they're gone. Their "Bell State signature" tells you nothing, either, and certainly nothing about photons 1 & 4. Because there will be no swap (which would normally defeat the purpose of a BSM).

I have looked for references to nail this point down. As soon as I have something useful to share, I will. It doesn't really matter to our debate at all. The question is whether Mjelva's hypothetical evolution - which absolutely depends on there being an intermediate 4-fold Product State - is correct. Of course, we know well that such intermediate states (any 1 of 4, he claims) will not actually replicate swap statistics. For exactly the reason per your statement 1.
 
  • Like
Likes   Reactions: jbergman, eloheim, PeterDonis and 1 other person
  • #184
Morbert said:
1. Replacing Ma's initial state with the Ma-X initial state leads to statistics matching a swap only in the R/L basis. Total statistics of course disagree, and you lose Bell/perfect correlations/anticorrelations you see across all three bases in the Ma experiment. I described and illustrated a comparison between Ma and Ma-X in #90. Here I will repost the relevant image.
View attachment 357293
You can see that the initial state of the Ma-X experiment will enforce correlation in the R/L basis, but not in the other two mutually unbiased bases.


2. In both Ma and Ma-X experiments, or any similar experiment, following Mjelva's prescription...


3. ..., or equivalently, physicsforum's prescription will get you the right predictions.

1. I agree with this, and am surprised you seem to as well. Yes, the one on the left demonstrates Entanglement Swapping. The one on the right displays Product State results, and therefore entirely falsifies Mjelva's premise by experiment.


2. Obviously, the Mjelva premise does not explain the results on the left. The right one, starting from one of his 4 intermediate states, does not look like the left. If it doesn't, his premise must be rejected.

Having your cake and eating it too? :smile:


3. I don't get this reference, I ignored it when you first presented. If you have something to quote of interest, quote it specifically. A vague hand wave in the direction of "all QM supports me" is a far cry from an appropriate reference in an advanced thread.
 
  • Like
Likes   Reactions: jbergman and PeterDonis
  • #185
eloheim said:
Now that we've finally reached this point can we just run the Ma-X experiment and find out? :smile:
It's done in every swapping experiment. No one reports the result, because it is just part of normal setup - and is not new science. For Type II PDC:
  1. It produces unentangled pairs (polarization basis) natively. There are 2 output cones, H and V, and these are known (and distinguishable).
  2. They must next create and locate 2 small overlapping sweet spots that produce polarization entangled pairs in the Ψ- Bell state. Those sweet spots are the locations where the H and V cones intersect, and the source cone for the photons are indistinguishable. There are a number of variables involved in this process, see the reference below.
  3. They know they found that sweet spot for both sources when things like swapping occur. Because otherwise, there are no swaps. No entangled pairs, no swaps.

    This is so basic, the experimental teams might have a bit of a laugh if they knew some were debating it here. I'm sure there are times when their setup becomes mis-calibrated and needs troubleshooting. They'll know quickly, because the results won't match the expectation.
There is literally nothing left to do, it's done and we know the answer. This has been my point all along. But if you never knew the complex steps required to obtain polarization entangled pairs via PDC, you might not have considered this. Obviously, Mjelva didn't.


TypeIIPDC.png
Type II PDC (2001)
 
  • Like
Likes   Reactions: jbergman, PeterDonis and javisot20
  • #186
DrChinese said:
Obviously, the Mjelva premise does not explain the results on the left. The right one, starting from one of his 4 intermediate states, does not look like the left. If it doesn't, his premise must be rejected.
@DrChinese Please let me know what you think is wrong with Mjelva's calculations in section 4.1.1 (projection-based treatment of Ma's experiment), so I can help.
I know you thought that eqs. (4) and pre-(4) were wrong because of your argument against the application of the projection postulate, but I adressed this issue when I provide you with a reference (Zweibach's textbook on QM) showing that both equations are correct. However, you still claim that Mjelva's is wrong even when he predicts maximal violation of Bell inequality for photons 1&4 in the post-selected subset, as expected in entanglement swapping.

Perhaps Mjelva's calculations are a bit hard to follow because he assumes that Alice and Bob measure the spins (he considered EPR pairs of particles instead of photons) in different basis to achieve maximal violation of Bell inequality. If that is the case, consider my post #155, where I applied the same forward-in-time treatment but to Ma's experiment with photons and polarization measurements. In that post, and for the cases where Alice and Bob measure in ##L/R## basis, I showed that if Victor chooses to perform a SSM, photons 1&4 are uncorrelated in the post-selected subset, whereas they are correlated if Victor chooses to perform a BSM. As you well know, this prediction matches exactly what is shown in Fig. 3 of Ma's paper.

Lucas.
 
  • #187
PeterDonis said:
This is an oxymoron. If the photons are anticorrelated, they are entangled.


If all the photons are prepared initially in a state where none of them are entangled (as in the "Ma-X" scenario), Victor cannot get any Bell states whatever by doing a BSM. The BSM can only swap entanglements that were already prepared; it can't manufacture entanglements out of nothing.
Sorry if my use of "anticorrelated" was confusing, I just meant |R>|L> pairs (DrChinese explained it better than I anyway).

And in general (as far as I understand) we're talking about creating a bell state by making 2 photons indistinguishable with something like the Hong-Ou-Mandel effect as in Ma's paper. If you do such a procedure with two photons that are already entangled with partners then you get an entanglement swap (due to monogamy of entanglement). However you could still do the same thing with 2 unentangled photons on their own and it would put them (randomly) into one of the bell states.

If you haven't been following the recent discussion here super closely then I would say no need to worry about it. We're pretty deep in the weeds at this point. :smile:

Edit: Basically Mjelva's math seems to treat photons 2 and 3 as being in separable states at the time before Victor's bell measurement and DrChinese says in doing that you can't correctly calculate the observed probabilities.
 
Last edited:
  • Like
Likes   Reactions: DrChinese
  • #188
DrChinese said:
3. I don't get this reference, I ignored it when you first presented. If you have something to quote of interest, quote it specifically. A vague hand wave in the direction of "all QM supports me" is a far cry from an appropriate reference in an advanced thread.
The reference contains a textbook presentation of QM. Applying it to these experiments In particular, a system prepared in state ##\ket{\Psi}## is evolved until Alice's and Bob's measurements with the time-dependent Schrödinger equation (TDSE) (rule 3). Measurement outcome probabilities are given by the Born rule (rule 6) and upon measurement, the state is updated (rule 7) and is evolved with the TDSE until Victor's measurement.

This basic procedure gets us all the right predictions for both the Ma and Ma-X experiments. This will be explored below.
DrChinese said:
1. I agree with this, and am surprised you seem to as well. Yes, the one on the left demonstrates Entanglement Swapping. The one on the right displays Product State results, and therefore entirely falsifies Mjelva's premise by experiment.

2. Obviously, the Mjelva premise does not explain the results on the left. The right one, starting from one of his 4 intermediate states, does not look like the left. If it doesn't, his premise must be rejected.
Why the surprise given that was from post #90? A forward-in-time projection-based account is suitable for both the Ma and Ma-X experiments.

E.g. For the ##\phi^-## set, measurements in the +/- basis are anticorrelated in the Ma experiment, and uncorrelated in the Ma-X experiment. So in runs where Alice and Bob get ++ or --, Victor can't get ##\phi^-## in the Ma experiment, but can in the Ma-X experiment. Let's carry out the relevant forward-in-time calculation to see if we can get this result.

The Ma experiment: The tetraphoton is prepared in the state $$\ket{\psi^-}_{12}\ket{\psi^-}_{34}$$Alice and Bob measure in the +/- basis and get the result ++, projecting the state (rule 7) onto $$\ket{++}_{14}\ket{--}_{23}$$The probability that Victor's BSM gets the result ##\phi^-## for these runs is (rule 6)$$p(\phi^-) = |\bra{\phi^-}--\rangle|^2 = 0$$This can be shown by expanding ##\ket{--}## in the Bell basis: $$\ket{--} = (\ket{\phi^+} - \ket{\psi^+})/\sqrt{2}$$Consistent with the Ma experiment, Victor can't get the result ##\phi^-## when Alice's and Bob's measurements are correlated in the +/- basis.

The Ma-X experiment: The tetraphoton is prepared in the state $$\ket{RR}_{14}\ket{LL}_{23}$$Alice and Bob measure in the +/- basis and get the result ++, projecting the state (rule 7) onto $$\ket{++}_{14}\ket{LL}_{23}$$The probability that Victor gets the result ##\phi^-## for these runs is (rule 6)$$p(\phi^-) = |\bra{\phi^-}LL\rangle|^2 = 0.5$$This can be shown by expanding ##\ket{LL}## in the Bell basis: $$\ket{LL} = (\ket{\phi^-} - i\ket{\psi^+})/\sqrt{2}$$Consistent with the Ma-X experiment, Victor can get the result ##\phi^-## when Alice's and Bob's measurements are ++ or -- (similarly for +- and -+).

[edit] - changed bad wording.

These steps can be repeated for any combination of measurements in either experiment, and all results from these calculations will be consistent with experiment.
 
Last edited:
  • Like
Likes   Reactions: Sambuco
  • #189
eloheim said:
So I'm assuming @Morbert that the mockup Ma-X graph is for ##\ket{\phi^-}_{2,3}## results (like the version from Ma's paper is) correct? I ask because that's not strictly synonymous with Ma-X not getting any ##\ket{\phi^+}_{2,3}## results (in the specific setup we're all talking about). Would you agree they get no ##\ket{\phi^+}_{2,3}##?
Correct.
Morbert said:
*Here I say "if" to keep focus on runs with Φ-, but in reality, in the Ma-X experiment, whatever Victor measures doesn't matter (whether he gets Φ- or an SSM result). The correlations will be as they are on the right hand side of the above chart regardless.
 
  • Like
Likes   Reactions: eloheim
  • #190
Sambuco said:
@DrChinese 1. Please let me know what you think is wrong with Mjelva's calculations in section 4.1.1 (projection-based treatment of Ma's experiment), so I can help.

I know you thought that eqs. (4) and pre-(4) were wrong because of your argument against the application of the projection postulate, but I adressed this issue when I provide you with a reference (Zweibach's textbook on QM) showing that both equations are correct. However, you still claim that Mjelva's is wrong even when he predicts maximal violation of Bell inequality for photons 1&4 in the post-selected subset, as expected in entanglement swapping.
OK, we're back to going around in circles. I don't need any assistance understanding Mjelva's mistakes. I have presented both errors and explained how they essentially offset to appear correct.

1. See his Pre-(4). The system, after Alice and Bob's measurements (regardless of basis) is NOT in any of these states. All 4 of these can be experimentally prepared on a chosen polarization basis (usually the same for photons 1 & 4), and none will lead to the Entanglement Swapping statistics of Ma et al. Therefore, this critical step in Mjelva's development of the math must be thrown out. There is nothing to debate about this point.

2. So you and @Morbert can claim all you like something that is NOT generally accepted at all. 4-fold Product states of photons do not lead to the correct statistics. What you and Morbert claim is not backed up by references, and even if it was, it would still be wrong. Because the pre-(4) states are excluded experimentally. I just don't know why this point is so difficult for some people to accept.

Again, if there are any new scientific points or significant references to discuss, I will gladly engage on those. :smile:
 
  • #191
DrChinese said:
OK, we're back to going around in circles.
I believe we have made progress. Your answers help me better understand what your objection to the forward-in-time analysis is. Let me recap where our disagreement lies. Correct me if I'm wrong about something:

1. You claim that eqs. pre-(4) does not follow from the application of the projection postulate after Alice and Bob's measurements. I adressed this particular point by providing a reference to a textbook that presents the projection postulate as applied to entangled systems. This reference supports Mjelva's eqs. pre-(4).

2. You claim that if eqs. pre-(4) were correct, it would not be possible to obtain the experimental results in Ma's paper.

I think that, at this moment, the point 2 above is the central issue. In that sense, I agree with that if the forward-in-time analysis makes impossible to predict the experimental obtained statistics in Ma's paper, something must be wrong.

On the other hand, if you agree, I would like us to leave Mjelva's calculations aside and focus on what I did in my post #155, because my calculations deal only with the cases of perfect correlation/anti-correlation, exactly as in Ma's experiment, so the comparison between the forward-in-time calculations and the experimental results in Ma's paper is straightforward. In that post, I showed that the mixture of separable states obtained after Alice and Bob's measurements correctly predict Ma's experiments. Could you tell me what your objection would be to those calculations?

DrChinese said:
See his Pre-(4). The system, after Alice and Bob's measurements (regardless of basis) is NOT in any of these states.
DrChinese said:
4-fold Product states of photons do not lead to the correct statistics.
Wait a minute! Reading the two sentences above, I think I've found the core of the disagreement.
The system consisting of the complete set that includes all individual runs is not in any of these states! The system's state after Alice and Bob's measurements is a mixture of these product states. As shown in my post #155, a mixture of separable states leads to the entanglement swapping data in Ma's paper if a BSM + post-selection was performed.

DrChinese said:
What you and Morbert claim is not backed up by references
If a reference supporting what I said is needed, Cohen's work about DCES is a good one (https://arxiv.org/abs/quant-ph/9907109).

Lucas.
 
  • #192
Sambuco said:
1. Wait a minute! Reading the two sentences above, I think I've found the core of the disagreement.
The system consisting of the complete set that includes all individual runs is not in any of these states! The system's state after Alice and Bob's measurements is a mixture of these product states. ...

2. If a reference supporting what I said is needed, Cohen's work about DCES is a good one (https://arxiv.org/abs/quant-ph/9907109).

Lucas.
1. In contradiction to what you say:
  • Mjelva , pre-(4): "Assuming the projection postulate, Alice and Bob’s measurements have the effect of projecting the state |Ψ(0)〉into one of the following four product states, each with probability p=¼." None of the 4 listed product states can even be used for entanglement swapping.
  • Later, for the other example, he similarly states: "At some time t=1 Alice performs a measurement on particle 1 along either the x-axis or the y-axis, with the effect of projecting the total state into one of the [2] product states..." None of the 2 listed product states can even be used for entanglement swapping.
You can talk all day long about derivations, etc. and proper application of Projection. These states are experimentally proven not to lead to entanglement swapping. If they were, experiments using Type II PDC would use these states, and it would lead to outputs that are perhaps 100 times brighter. There's really nothing to discuss.


2. Here is another top-notch paper from Ma et al, and it gives a nod to Cohen in passing: "Remarkably, quantum mechanics allows this [after measurement of 1 & 4] via entanglement swapping (Zukowski et al.,1993). We note that Cohen had previously analyzed a similar situation in the context of counterfactual entanglement generation in separable states (Cohen, 1999)." The description which follows is simply a recap of the earlier Ma setup and results, no ideas from Cohen otherwise. They say - in contradiction to Mjelva:

"Since the property whether the quantum state of photons 1 and 4 is separable or entangled, can be freely decided by Victor’s choice of applying a separable-state or Bell-state measurement on photons 2 and 3 after photons 1 and 4 have been already measured, the delayed-choice wave-particle duality of a single particle is brought to an entanglement-separability duality of two particles."

I will note: Mjelva may have seen comments Ma makes in their 2016 paper* and attempted to apply them in his novel manner. Ditto with comments Cohen presents in and around his (6), which are superficially somewhat similar to a number of Mjelva's. Of course, Cohen's 1999 work predated all entanglement swapping experiments. And I don't read it in any way as a useful reference for your position. I always wonder when a reference is provided with any quote or context. For example, see quote** below which is quite the opposite of Mjelva's position. Maybe there is something specific and relevant you can quote to support your position?

Besides, PDC had just come on the scene a few years earlier and most scientists would not be familiar with its quirks at that time. I don't blame Mjelva (or anyone) for that lack of knowledge, even today.

But you still cannot start with a 4-fold photon product state (easily produced) and get any kind of entanglement swap with a single BSM. It doesn't actually occur. No math, application of projection, etc. can ever change this critical fact. Nor can references or quotes.


*Ma (2016): They present their (8) and (9), which is the usual pre- and post-BSM presentations and identical to their 2012 paper's (1) and (2). What they did say that could lead one astray, is: "However, the state (8) can also be written in the basis of Bell states of photons 2 and 3: ... (9)" That's not really true, although the . The states (8) and (9) are not the same at all. (9) is only meaningful after a BSM. Obviously, prior to a BSM: there is no connection whatsoever between the 1&2 pair and the 3&4 pair - as opposed to any other pairs in the universe. So (9) is not equivalent in any way to (8) - they are Product States of 2 different pairs.

**Cohen: "In assessing the significance of counterfactual entanglement, it is worth bearing in mind that standard quantum mechanics does not allow one to make counterfactual inferences about the earlier states of quantum systems, based on the outcomes of subsequent measurements. Thus, according to standard quantum mechanics, we cannot for example argue that a system prepared at time t0 in the state ψ 123 given by eq. (2), subjected to measurements of ... at time t1 , and then post-selected by the outcome ... at time t2 ... would, if it had been subjected to a Bell operator basis measurement at time ...,have necessarily yielded the eigenstate ... , even though the post-selected subensemble yields identical statistics to those that would have been obtained for this eigenstate, for any choice of ... . In this sense standard quantum mechanics is predictive but not retrodictive." Or, in the slightly more concise words of Peres (1978): "Unperformed measurements have no results." Apparently everyone agrees on this point.
 
Last edited:
  • Like
Likes   Reactions: jbergman and PeterDonis
  • #193
@Sambuco, @Morbert, and anyone else who might want to weigh in:

i) If you saw an explicit experimental demonstration that a 4 fold photon Product State - a la Mjelva's pre-(4) - does not produce entanglement swapping after a BSM, would that convince you that Mjelva is flat-out wrong?

If not, we may as well all stop here.


ii) Anyone think my description of how PDC polarization entanglement is created is incorrect? Or how it can be applied here?

Type I PDC
Type II PDC
 
Last edited:
  • Like
Likes   Reactions: jbergman
  • #194
DrChinese said:
1. In contradiction to what you say:
  • Mjelva , pre-(4): "Assuming the projection postulate, Alice and Bob’s measurements have the effect of projecting the state |Ψ(0)〉into one of the following four product states, each with probability p=¼." None of the 4 listed product states can even be used for entanglement swapping.
  • Later, for the other example, he similarly states: "At some time t=1 Alice performs a measurement on particle 1 along either the x-axis or the y-axis, with the effect of projecting the total state into one of the [2] product states..." None of the 2 listed product states can even be used for entanglement swapping.
You can talk all day long about derivations, etc. and proper application of Projection. These states are experimentally proven not to lead to entanglement swapping. If they were, experiments using Type II PDC would use these states, and it would lead to outputs that are perhaps 100 times brighter. There's really nothing to discuss.
[...]
But you still cannot start with a 4-fold photon product state (easily produced) and get any kind of entanglement swap with a single BSM. It doesn't actually occur. No math, application of projection, etc. can ever change this critical fact. Nor can references or quotes.
DrChinese said:
@Sambuco, @Morbert, and anyone else who might want to weigh in:

i) If you saw an explicit experimental demonstration that a 4 fold photon Product State - a la Mjelva's pre-(4) - does not produce entanglement swapping after a BSM, would that convince you that Mjelva is flat-out wrong?

If not, we may as well all stop here.
The reductive statement "A 4-fold product state does not produce entanglement swapping" isn't what Mjelva or Cohen (in a very fine Physical Review A paper supplied by @Sambuco) argue against. Instead, they argue that the appropriate postselection from a mixture of product states will reproduce all correlations normally seen in measurements on entangled states.

DrChinese said:
2. Here is another top-notch paper from Ma et al, and it gives a nod to Cohen in passing: "Remarkably, quantum mechanics allows this [after measurement of 1 & 4] via entanglement swapping (Zukowski et al.,1993). We note that Cohen had previously analyzed a similar situation in the context of counterfactual entanglement generation in separable states (Cohen, 1999)." The description which follows is simply a recap of the earlier Ma setup and results, no ideas from Cohen otherwise. They say - in contradiction to Mjelva:

"Since the property whether the quantum state of photons 1 and 4 is separable or entangled, can be freely decided by Victor’s choice of applying a separable-state or Bell-state measurement on photons 2 and 3 after photons 1 and 4 have been already measured, the delayed-choice wave-particle duality of a single particle is brought to an entanglement-separability duality of two particles."
Ma's framework does not contradict* Mjelva's or Cohen's. They both produce the same predictions. Cohen writes down a Bayesian relation (equation 4) for measurements on a GHZ triparticle to show the equivalence between post-selection from a mixture of product states, and preparation of entangled states. We can write down the same relation for Ma's experiment (and for particle spin a la Mjelva): If ##\sigma_1## and ##\sigma_4## are Alice's and Bob's measurements, and ##V## is Victor's BSM measurement, then $$\mathrm{Prob}_{\ket{\Psi}_{1234}}(\sigma_{1\theta_1}\otimes\sigma_{4\theta_4}=j|V_{23}=i) = \frac{\mathrm{Prob}_{\ket{\Psi}_{1234}}(\sigma_{1\theta_1}\otimes\sigma_{4\theta_4}=j)\mathrm{Prob}_{\ket{\Psi}_{1234}}(V_{23}=i|\sigma_{1\theta_1}\otimes\sigma_{4\theta_4}=j)}{\mathrm{Prob}_{\ket{\Psi}_{1234}}(V_{23}=i)}$$I.e. However you compute the statistics - either via measurements on 1 & 4 given a retrocausally entangling BSM, or via a BSM postselecting from already-measured, unentangled 1 & 4 outcomes - you get the same result.
DrChinese said:
I will note: Mjelva may have seen comments Ma makes in their 2016 paper* and attempted to apply them in his novel manner. Ditto with comments Cohen presents in and around his (6), which are superficially somewhat similar to a number of Mjelva's. Of course, Cohen's 1999 work predated all entanglement swapping experiments. And I don't read it in any way as a useful reference for your position. I always wonder when a reference is provided with any quote or context. For example, see quote** below which is quite the opposite of Mjelva's position. Maybe there is something specific and relevant you can quote to support your position?

**Cohen: "In assessing the significance of counterfactual entanglement, it is worth bearing in mind that standard quantum mechanics does not allow one to make counterfactual inferences about the earlier states of quantum systems, based on the outcomes of subsequent measurements. Thus, according to standard quantum mechanics, we cannot for example argue that a system prepared at time t0 in the state ψ 123 given by eq. (2), subjected to measurements of ... at time t1 , and then post-selected by the outcome ... at time t2 ... would, if it had been subjected to a Bell operator basis measurement at time ...,have necessarily yielded the eigenstate ... , even though the post-selected subensemble yields identical statistics to those that would have been obtained for this eigenstate, for any choice of ... . In this sense standard quantum mechanics is predictive but not retrodictive." Or, in the slightly more concise words of Peres (1978): "Unperformed measurements have no results." Apparently everyone agrees on this point.
There is no inconsistency with Mjelva here. Cohen rightly says we cannot conclude, based on a measurement result, that an alternative complementary measurement would have yielded a specific eigenstate. But we can conclude that an alternative complementary measurement would have yielded an eigenstate of that measurmeent (see physicsforum's rule 7) even if we can't say which one. That's all Mjelva assumes.

[edit]

*You could perhaps say they contradict if you insist one description forecloses the other, but that would require interpretational/ontological commitments not demanded by QM.
 
Last edited:
  • Like
Likes   Reactions: Sambuco and iste
  • #195
DrChinese said:
None of the 4 listed product states can even be used for entanglement swapping.
DrChinese said:
If you saw an explicit experimental demonstration that a 4 fold photon Product State - a la Mjelva's pre-(4) - does not produce entanglement swapping after a BSM, would that convince you that Mjelva is flat-out wrong?
You still claim Mjelva's says something that Mjelva's didn't say. Nobody is claiming that a product state leads to entanglement swapping. You are completely right on that, we all agree. Mjelva's forward-in-time analysis of the DCES (section 4.1.1 of his paper) shows that after Alice and Bob measurements the state of the system is a MIXTURE OF PRODUCT STATES, as shown by his eq. (4) (see the density operator!), NOT A PRODUCT STATE, so your correct claim that a product state does not lead to entanglement swapping has nothing to do with Mjelva's analysis. "Mixture of product states" is not the same thing as "product state". Please, stop saying that Mjelva claimed that the state in between Alice/Bob's and Victor's measurements is a product state, because he didn't say that.

In the OP, I said that a forward-in-time treatment of the DCES that reproduces all the statistical data in Ma's paper is possible. To backed up this assertion, I shared a peer-review paper, Mjelva's work, in particular, his analysis in section 4.1.1 from eq. (3) to eq. (7). I don't have to give any other references to back anything up. You are the one who have to prove Mjelva wrong. First, you said that his eqs. (4) and pre-(4) are wrong because they followed from a wrong application of the projection postulate. I proved you are the one who is wrong about that by providing a textbook reference (Zweibach's book) where the projection postulate applied to partial measurements on entangled states is exactly what Mjelva did, i.e. his eqs. (4) and pre-(4) were right, as proved by textbook QM. After that, you continue to claim that Mjelva is wrong, even though you could not point to a single place where Mjelva's analysis in section 4.1.1 was wrong. If you think that I'm wrong in my claim that a forward-in-time treatment of DCES is possible, which is supported by a peer-reviewed paper, then, it will be very easy for you to prove it: just point out a single error in Mjelva's forward-in-time analysis from eq. (3) to eq. (7).

I really can't believe we're discussing something so basic.

Lucas.
 
Last edited:
  • Like
Likes   Reactions: iste
  • #196
One point of possible point of confusion: If we are tracking a single run, then after Alice's and Bob's measurement, the state will be in a product state. This product state cannot exhibit perfect correlation across all three possible measurement bases of Alice and Bob. This makes perfect sense as Alice and Bob must choose only one of the these bases per run. All this product state does is restrict the possible outcomes Victor can obtain when he does his measurement.

Perfect correlations across all three bases are instead observed by selecting from samples of runs, and it is the samples that are represented by proper mixtures of product states.
 
  • Like
Likes   Reactions: gentzen
  • #197
Morbert said:
If we are tracking a single run, then after Alice's and Bob's measurement, the state will be in a product state.
Only if we are using an interpretation which assigns quantum states to individual systems. On a statistical interpretation, such as that of Ballentine, you can't assign any quantum state to a single run.
 
  • #198
Sambuco said:
1. You still claim Mjelva's says something that Mjelva's didn't say. Nobody is claiming that a product state leads to entanglement swapping. You are completely right on that, we all agree.

2. Mjelva's forward-in-time analysis of the DCES (section 4.1.1 of his paper) shows that after Alice and Bob measurements the state of the system is a MIXTURE OF PRODUCT STATES, as shown by his eq. (4) (see the density operator!), NOT A PRODUCT STATE, so your correct claim that a product state does not lead to entanglement swapping has nothing to do with Mjelva's analysis. "Mixture of product states" is not the same thing as "product state". Please, stop saying that Mjelva claimed that the state in between Alice/Bob's and Victor's measurements is a product state, because he didn't say that.
1. My words? We've already been through this. Either we are talking about 4-fold Product states, or not. Let's see what the paper asserts.

2. Mjelva: "Assuming the projection postulate [can be applied here], Alice and Bob’s measurements have the effect of projecting the state |Ψ(0)〉into one of the following four product states, each with probability p=1/4: ... On any given run of the experiment, the total system will be in one of the these possible states."

If it is in one of the product states, as he says here, then according to your 1. it does not lead to entanglement swapping. You are taking both sides of the same question.

Unquestionably: None of his 4 Product states will lead to entanglement swapping statistics on selected unbiased bases. And it can easily be arranged to demonstrate the same, in contradiction to you, @Morbert and Mjelva. That can be demonstrated for all 4 states individually (and collectively). So his purported explanation of DCES does not hold water, by his own definitions and standards.
 
  • #199
Morbert said:
A. One point of possible point of confusion: If we are tracking a single run, then after Alice's and Bob's measurement, the state will be in a product state. This product state cannot exhibit perfect correlation across all three possible measurement bases of Alice and Bob. This makes perfect sense as Alice and Bob must choose only one of the these bases per run. All this product state does is restrict the possible outcomes Victor can obtain when he does his measurement.

B. Perfect correlations across all three bases are instead observed by selecting from samples of runs, and it is the samples that are represented by proper mixtures of product states.
A. This is contradictory to this discussion on many levels.
  1. We've been talking statistical results of a sufficiently large set of specific outcomes (say RR) of Alice and Bob's measurements on chosen basis (say R/L), with a BSM performed on an unbiased basis (say H/V).
  2. No one is saying anything about what would have (counterfactually) happened if a different basis for the BSM was selected (say +/- instead of H/V).
  3. The Ma experiment clearly shows the expected correlations on all 3 bases for measurements on Alice and Bob.
B. Mjelva: "Assuming the projection postulate [can be applied here], Alice and Bob’s measurements have the effect of projecting the state |Ψ(0)〉into one of the following four product states, each with probability p=1/4: ... On any given run of the experiment, the total system will be in one of the these possible states."

And yet: No ONE (his words) of these 4 product states will experimentally lead to DCES statistics, in contradiction to Mjelva's basic premise. There cannot be such intermediate Product states. It doesn't matter if you try to call them some special name ("proper mixtures of product states"*), which is not what Mjelva says above.


*Which is simply a classical statistical mixture of Product states, and bearing no relationship whatsoever to a quantum superposition of states.
 
  • #200
DrChinese said:
A. This is contradictory to this discussion on many levels.
  1. We've been talking statistical results of a sufficiently large set of specific outcomes (say RR) of Alice and Bob's measurements on chosen basis (say R/L), with a BSM performed on an unbiased basis (say H/V).
  2. No one is saying anything about what would have (counterfactually) happened if a different basis for the BSM was selected (say +/- instead of H/V).
  3. The Ma experiment clearly shows the expected correlations on all 3 bases for measurements on Alice and Bob.
B. Mjelva: "Assuming the projection postulate [can be applied here], Alice and Bob’s measurements have the effect of projecting the state |Ψ(0)〉into one of the following four product states, each with probability p=1/4: ... On any given run of the experiment, the total system will be in one of the these possible states."

And yet: No ONE (his words) of these 4 product states will experimentally lead to DCES statistics, in contradiction to Mjelva's basic premise. There cannot be such intermediate Product states. It doesn't matter if you try to call them some special name ("proper mixtures of product states"*), which is not what Mjelva says above.


*Which is simply a classical statistical mixture of Product states, and bearing no relationship whatsoever to a quantum superposition of states.
As I have shown many many times now: Each of the product states Alice an Bob project onto will restrict the possible outcomes of Victor's BSM, such that, statistically, Victor's BSM results will be correlated with Alice's and Bob's results a la Fig 3a. This leads to DCES statistics, where Victor can post-select subsets from samples of runs (represented by proper mixtures) that exhibit the correlations we would normally see from measurements on entangled particles.

[edit to add]

So e.g. for the set runs where Alice and Bob record the specific outcomes RR, Victor cannot postselect perfect correlations across all three bases because for these runs, Alice and Bob measured in the R/L basis. Instead, the product state associated with this set of specific runs tells us Victor never gets the result ##\phi^+##. So if we consider the proper mixture of product states for possible outcomes for measurements in the R/L basis, Victor's ##\phi^+## result will postselect runs where Alice and Bob's R/L results are anticorrelated. Similar postselection from proper mixtures of outcomes of measurements in the other two bases will similarly reproduce perfect correlation/anticorrelation, and hence a postselection protocol reproduces the statistics normally associated with measurements on entangled particles.
 
Last edited:
  • Like
Likes   Reactions: iste, jbergman and Sambuco
  • #201
DrChinese said:
Mjelva: "Assuming the projection postulate [can be applied here], Alice and Bob’s measurements have the effect of projecting the state |Ψ(0)〉into one of the following four product states, each with probability p=1/4: ... On any given run of the experiment, the total system will be in one of the these possible states."

If it is in one of the product states, as he says here, then according to your 1. it does not lead to entanglement swapping. You are taking both sides of the same question.
I'll try to show that we (Mjelva, @Morbert and me) are not wrong. I really hope we all can agree. When I shared Mjelva's paper on the OP, I wished to discuss the implications the forward-in-time analysis has on how the different interpretations of QM deal with DCES. I understand we spend some time with the nuances of the forward-in-time analysis, but it's a bit frustating that we'are stuck still discussing basic linear algebra.

I believe that the problem lies in:
1. You confuse the state assigned to any given run of the experiment, which is a product state as you correctly showed Mjelva said in his eq. pre-(4), with the state of the whole system composed of all the runs, which is a mixture of product states, as Mjelva showed through the densitiy operator in his eq. (4).
2. You (wrongly) believe that a mixture of product states cannot reproduces the statistical data in Ma's paper.

To be clearer (one more time), let's do the math. Please, @DrChinese, follow me on this calculation. I'll consider the case in Ma's experiment where Alice and Bob always measure in the ##L/R## basis. After preparation at ##t_0##, the state of the system is:

##\ket{\Psi(t_0)} = \ket{\psi^-}_{1,2} \otimes \ket{\psi^-}_{3,4}##

At time ##t_1##, Alice and Bob measure photons 1 and 4, respectively. They could obtain four different combinations: RR, RL, LR, LL. According to the projection postulate as in Zweibach's textbook, Alice and Bob project the initial state onto four different product states with 25% chance:

##\ket{\Psi(t_1)}_A = \ket{R}_1 \otimes \ket{R}_4 \otimes \ket{L}_2 \otimes \ket{L}_3##
##\ket{\Psi(t_1)}_B = \ket{R}_1 \otimes \ket{L}_4 \otimes \ket{L}_2 \otimes \ket{R}_3##
##\ket{\Psi(t_1)}_C = \ket{L}_1 \otimes \ket{R}_4 \otimes \ket{R}_2 \otimes \ket{L}_3##
##\ket{\Psi(t_1)}_D = \ket{L}_1 \otimes \ket{L}_4 \otimes \ket{R}_2 \otimes \ket{R}_3##

So, if we want to define the state of the whole system including all the runs, it will be a mixture:

##\rho(t_1) = \frac{1}{4} (\ket{\Psi(t_1)}_A\bra{\Psi(t_1)}_A + \ket{\Psi(t_1)}_B\bra{\Psi(t_1)}_B + \ket{\Psi(t_1)}_C\bra{\Psi(t_1)}_C + \ket{\Psi(t_1)}_D\bra{\Psi(t_1)}_D)##

Something very important: the state ##\rho(t_1)## does not represent one of the four subsets ##A,B,C,D##. The state ##\rho(t_1)## is assigned to the whole system formed by all the runs taken together, so it is a mixture of product states. Now, the question is: This state is able to reproduce the statistical data in Ma's paper? Let's see.

First, we can rewrite the states ##\ket{\Psi(t_1)}_{A,B,C,D}## with photons 2&3 in the Bell-states basis:

##\ket{\Psi(t_1)}_A = \ket{R}_1 \otimes \ket{R}_4 \otimes \frac{1}{2} (\ket{\phi^-}_{2,3}-i\ket{\psi^+}_{2,3})##
##\ket{\Psi(t_1)}_B = \ket{R}_1 \otimes \ket{L}_4 \otimes \frac{1}{2} (\ket{\phi^+}_{2,3}+i\ket{\psi^-}_{2,3})##
##\ket{\Psi(t_1)}_C = \ket{L}_1 \otimes \ket{R}_4 \otimes \frac{1}{2} (\ket{\phi^+}_{2,3}-i\ket{\psi^-}_{2,3})##
##\ket{\Psi(t_1)}_D = \ket{L}_1 \otimes \ket{L}_4 \otimes \frac{1}{2} (\ket{\phi^-}_{2,3}+i\ket{\psi^+}_{2,3})##

What the states above predict if Victor decides to perform a BSM? To be short, take only the case when Victor measures ##\phi^-##. According to the Born's rule, Victor will measure ##\phi^-## 50% of the times Alice and Bob measured ##RR## and 50% of the times Alice and Bob measured ##LL##. So, if you took all the runs, i.e. the system whose state is a mixture of product states described by the density operator ##\rho(t_1)##, and construct a subset formed only by the runs where Victor measured ##\phi^-##, you could see perfect correlation between Alice's and Bob's measurements in the ##L/R## basis. This is the experimental result observed in Ma's paper! We could do the same calculations considering any other basis for Alice's and Bob's measurements.

So what did we proved above? Well, we can see that if we solve the time-dependent Schrödinger equation evolving the initial state of the system from time ##t_0## until time ##t_2##, unitarily between measurements and "collapsing" the state upon measurements, we can reproduce statistical data in Ma's paper with photons 1&4 never being in an entangled state even when Victor performed a BSM. If you like, you could say that these forward-in-time analysis does not involve entangled states for 1&4. This is the entire point of the forward-in-time treatment, you could reproduces all the data without 1&4 entangled states!

On the other hand, the experiment can be interpreted in a very different way by giving priority to Victor's measurements. In that case, when he decides to perform a BSM, he projects the state of the system and post-selects the runs where he obtained only one of the Bell states (let's say ##\phi^-##), the state of the remaining photons 1&4 will be in an entangled state ##\phi^-##, which correcly predicts 1&4 results even if they were already measured before the BSM (swap) was performed. This is how authors present the results in Ma's paper. I use the word "present", instead of "interpret" because they (Zeilinger's group) does not take the state of the system as something real. They don't favor a ##\Psi##-ontic interpretation, but a ##\Psi##-epistemic one.

What is really interesting about all these analysis is that both descriptions correctly predict the same data. If you argue against retrocausality, the forward-in-time analysis à la Mjelva (or Cohen, by the way) is perfect for you, because all the data can be explained by evolving the state of the system from past to future with 1&4 photons never being in an entangled state. In that sense, this allows to (re)-interpret the well-known conclusion by Peres "each subset behaves as if it consisted of entangled pairs of distant particles". Some authors (Bacciagaluppi and others) interpret that as a "proof" against the reality of entanglement. In my view, it could be even saw as a hint against ##\Psi##-ontic interpretations or even against causation. Of course, these last thoughts are interpretation-dependent.

As I said at the beginning of this post, I really hope we can all agree on the math, so we can move on to the physical analysis of these results.

Lucas.
 
  • Like
Likes   Reactions: PeterDonis, iste, javisot20 and 1 other person
  • #202
I do not understand the conclusions, even if it is true that "entanglement=selection criterion", that would lead to the conclusion that both the entanglement and the selection criterion are physical descriptions of the same physical phenomenon (this tells us nothing about the nature of the wave function)
 
  • #203
Sambuco said:
You confuse the state assigned to any given run of the experiment, which is a product state as you correctly showed Mjelva said in his eq. pre-(4), with the state of the whole system composed of all the runs
In an interpretation like the one @DrChinese is using, there is no such thing as "the state of the whole system composed of all the runs". Each run has its own individual state.

Conversely, as I've already commented, in a statistical interpretation such as the one used in Ballentine's textbook, there is no such thing as "the state assigned to any given run of the experiment"; quantum states never describe anything except abstract ensembles of runs.

So it's not a matter of "confusion" here; it's a matter of different interpretations not even having any common ground between them about what the quantum state represents.

I'm not aware of any interpretation of QM that gives both meanings to the quantum state. If you know of one, you need to give a reference for it. Otherwise your statement quoted above is simply irrelevant, since it does not apply to any known interpretation of QM.

I think many of the comments in this thread have failed to realize just how fundamentally different different interpretations of QM can be even on such a basic item as this.
 
  • Like
Likes   Reactions: jbergman
  • #204
DrChinese said:
A. This is contradictory to this discussion on many levels.
  1. We've been talking statistical results of a sufficiently large set of specific outcomes (say RR) of Alice and Bob's measurements on chosen basis (say R/L), with a BSM performed on an unbiased basis (say H/V).
  2. No one is saying anything about what would have (counterfactually) happened if a different basis for the BSM was selected (say +/- instead of H/V).
  3. The Ma experiment clearly shows the expected correlations on all 3 bases for measurements on Alice and Bob.
B. Mjelva: "Assuming the projection postulate [can be applied here], Alice and Bob’s measurements have the effect of projecting the state |Ψ(0)〉into one of the following four product states, each with probability p=1/4: ... On any given run of the experiment, the total system will be in one of the these possible states."

And yet: No ONE (his words) of these 4 product states will experimentally lead to DCES statistics, in contradiction to Mjelva's basic premise. There cannot be such intermediate Product states. It doesn't matter if you try to call them some special name ("proper mixtures of product states"*), which is not what Mjelva says above.


*Which is simply a classical statistical mixture of Product states, and bearing no relationship whatsoever to a quantum superposition of states.
I hate to jump in as this point may have already been discussed, but Mjelva states in the intro, "I will argue that this foliation-dependence is not so much a problem for Egg’s view as it is a problem for a projection-based interpretation of quantum mechanics."

In other words,
PeterDonis said:
In an interpretation like the one @DrChinese is using, there is no such thing as "the state of the whole system composed of all the runs". Each run has its own individual state.

Conversely, as I've already commented, in a statistical interpretation such as the one used in Ballentine's textbook, there is no such thing as "the state assigned to any given run of the experiment"; quantum states never describe anything except abstract ensembles of runs.

So it's not a matter of "confusion" here; it's a matter of different interpretations not even having any common ground between them about what the quantum state represents.

I'm not aware of any interpretation of QM that gives both meanings to the quantum state. If you know of one, you need to give a reference for it. Otherwise your statement quoted above is simply irrelevant, since it does not apply to any known interpretation of QM.

I think many of the comments in this thread have failed to realize just how fundamentally different different interpretations of QM can be even on such a basic item as this.
Is this what Mjelva is trying to highlight? From the intro's description of section 4 of the paper,

This is demonstrated both on an account which assumes that following a measurement, the state of the system is projected into an eigenstate corresponding to the measurement outcome, and on an Everettian account, where the quantum state remains in a superposition of states corresponding to different outcomes following the measurements. I show that while a projection-based account leads to different explanations of the correlations in the non-delayed and delayed-choice-cases, there is no such asymmetry on an Everettian account.
 
  • #205
PeterDonis said:
So it's not a matter of "confusion" here; it's a matter of different interpretations not even having any common ground between them about what the quantum state represents.
Well, we didn't start to discuss interpretations yet, we're still discussing about the math. The disagreement was because in a forward-in-time analysis of DCES, the quantum state of each run after Alice's and Bob's measurements is a product state and @DrChinese thought that these states cannot be consistent with the statistical data in Ma's paper. This discrepancy is not interpretation-dependent.

Anyway, I fully agree with what you said about how the different interpretations view the quantum state in very different ways. In that sense, I like your response in another thread where you said that answers about which physical properties are described by the wave function range from "none" to "all of them".

PeterDonis said:
Otherwise your statement quoted above is simply irrelevant, since it does not apply to any known interpretation of QM.
As I said above, we were discussing the math in Mjelva's paper, not the interpretation (yet), so in the statement you selected, I don't adhere to any interpretation, I use "quantum state" as a synonym of "state vector", i.e. the thing that we evolves in time from the initial preparation up to the last measurement to calculate the probabilities of certain measurement outcomes.

PeterDonis said:
I'm not aware of any interpretation of QM that gives both meanings to the quantum state. If you know of one, you need to give a reference for it.
Thanks for your question because this is the kind of things I wished to discuss when I shared the paper in the OP. Information-based interpretations have no problem considering both quantum states (the state of a single run and the state of the whole system formed by all the runs) on an equal footing, as ##\Psi##-epistemic. For example, Rovelli's relational interpretation (RQM). For those who are not well versed on this interpretation, I recommend some papers: the seminal work on RQM (https://arxiv.org/abs/quant-ph/9609002), two recent shorter introductions (https://arxiv.org/abs/2109.09170, https://arxiv.org/abs/1712.02894), and a nice discussion about relative and stable facts (https://arxiv.org/abs/2006.15543).

Lucas.
 
  • Like
Likes   Reactions: PeterDonis
  • #206
jbergman said:
Is this what Mjelva is trying to highlight? From the intro's description of section 4 of the paper,
What Mjelva is highlighting is that you get the same statistics whether or not Victor carries out a BSM before or after Alice and Bob carry out their measurements, but under a projection based account, the explanation differs.

If Victor carries out a BSM before Alice or Bob carry out their measurements, then 1 & 4 are projected onto a Bell state upon Victor's measurement of 2 & 3. I.e. 1 & 4 become entangled. This entanglement explains the Bell correlations Alice and Bob will observe.

If Victor carries out a BSM after Alice or Bob carry out their measurements, then Victor's BSM has no effect on 1 & 4. Instead, runs post-selected by each of Victor's BSM results will exhibit Bell correlations in Alice's and Bob's data.

For experiments with spacelike separated measurements, there will be a relativity of entanglement and hence of explanation.

No such divisions are needed in some alternative accounts like an Everettian account.

I gave some thoughts on this in my first post in this thread:
Morbert said:
As an aside: His distinction between entangled particles (pre-selection) and particles that exhibited Bell-inequality-violating correlations (post-selection) is interesting though I suspect anti-realist interpretations would dissolve any physical significance of that distinction, and he shows that for spacelike separated configurations of W experiments, they become relative.

Note that @DrChinese's objection is more fundamental. He maintains that a projection based account will yield probabilities and correlations that contradict experiment.
 
  • Like
Likes   Reactions: jbergman
  • #207
Sambuco said:
This discrepancy is not interpretation-dependent.
Yes, it is. See my post #203. In order to get the correct prediction from the product state, you have to use the mixture of all four product states; just one product state for a given run won't do it. But in the interpretation @DrChinese is using, the mixture of all four product states has no meaning since it does not apply to any individual run, it only applies to the abstract ensemble of runs, and @DrChinese is not using an ensemble interpretation a la Ballentine. In the interpretation @DrChinese is using, each individual run has to be analyzed using the entire measurement context, and the BSM operation has to be performed on the entire entangled state that is initially prepared; otherwise you get the wrong answer.
 
  • Like
Likes   Reactions: DrChinese, javisot20 and jbergman
  • #208
PeterDonis said:
each individual run has to be analyzed using the entire measurement context, and the BSM operation has to be performed on the entire entangled state that is initially prepared; otherwise you get the wrong answer.
As this is a forward-in-time analysis and the experiment is delayed-choice, the BSM operation is performed on whichever product state Alice and Bob projected onto earlier. The computed probabilities will all be consistent with experiment, as the product state from Alice's and Bob's measurement will restrict what results Victor can get from a BSM. I showed this for the particular case of Alice and Bob measuring in the +/- basis and getting the result ++ in an earlier post
Morbert said:
The Ma experiment: The tetraphoton is prepared in the state $$\ket{\psi^-}_{12}\ket{\psi^-}_{34}$$Alice and Bob measure in the +/- basis and get the result ++, projecting the state (rule 7) onto $$\ket{++}_{14}\ket{--}_{23}$$The probability that Victor's BSM gets the result ##\phi^-## for [this run] is (rule 6)$$p(\phi^-) = |\bra{\phi^-}--\rangle|^2 = 0$$This can be shown by expanding ##\ket{--}## in the Bell basis: $$\ket{--} = (\ket{\phi^+} - \ket{\psi^+})/\sqrt{2}$$Consistent with the Ma experiment, Victor can't get the result ##\phi^-## when Alice's and Bob's measurements are correlated in the +/- basis.
This exercise can be carried out for any combination of outcomes.
 
  • #209
Morbert said:
As this is a forward-in-time analysis and the experiment is delayed-choice, the BSM operation is performed on whichever product state Alice and Bob projected onto earlier.
If you are using an interpretation in which such an analysis is allowed, yes. But not all interpretations allow such an analysis, since it involves applying the projection postulate without taking into account the entire measurement context.
 
  • #210
Morbert said:
What Mjelva is highlighting is that you get the same statistics whether or not Victor carries out a BSM before or after Alice and Bob carry out their measurements, but under a projection based account, the explanation differs.

If Victor carries out a BSM before Alice or Bob carry out their measurements, then 1 & 4 are projected onto a Bell state upon Victor's measurement of 2 & 3. I.e. 1 & 4 become entangled. This entanglement explains the Bell correlations Alice and Bob will observe.

If Victor carries out a BSM after Alice or Bob carry out their measurements, then Victor's BSM has no effect on 1 & 4. Instead, runs post-selected by each of Victor's BSM results will exhibit Bell correlations in Alice's and Bob's data.

For experiments with spacelike separated measurements, there will be a relativity of entanglement and hence of explanation.
In the forward in time only view: As @Morbert says, there must be differing explanations/descriptions precisely because the events occur in different sequence when there is delayed choice. So the concept of "relatively of entanglement" has been introduced around that.

Note that QM itself is silent about the ordering. You could say "the 2&3 BSM leads to 1&4 entanglement statistics in one, while the 1&4 outcomes lead to 2&3 BSM outcomes in the other." Of course, that same logic applies when there is ordinary 2 particle entanglement, when one particle is measured before the other. You could as easily claim a) Alice's earlier outcome is affected by Bob's later choice of measurement, as claim b) the reverse. Results are consistent with either explanation.

So basically: "Relativity of entanglement" simply means that the forward in time only premise is kept by assuming the same outcomes of experiments as if that same forward in time only premise didn't apply.
 

Similar threads

  • · Replies 13 ·
Replies
13
Views
3K
  • · Replies 60 ·
3
Replies
60
Views
5K
  • · Replies 32 ·
2
Replies
32
Views
2K
  • · Replies 178 ·
6
Replies
178
Views
10K
Replies
79
Views
10K
  • · Replies 456 ·
16
Replies
456
Views
30K
  • · Replies 54 ·
2
Replies
54
Views
7K
  • · Replies 58 ·
2
Replies
58
Views
5K
  • · Replies 27 ·
Replies
27
Views
7K
Replies
119
Views
7K