Fourier transform and derivation

Click For Summary

Discussion Overview

The discussion revolves around the derivation of a specific equation (Eq.(2.2)) related to Fourier coefficients. Participants express confusion regarding the derivation process and the definitions of certain variables, particularly ##t_k##, as well as the clarity of the source material.

Discussion Character

  • Homework-related
  • Debate/contested
  • Technical explanation

Main Points Raised

  • One participant expresses uncertainty about how to derive Eq.(2.2) and questions the origin of the summation term Σk.
  • Another participant finds the derivation described in the source material to be non-obvious, challenging the notion that it is "straightforwardly computed."
  • A question is raised about the definition of ##t_k##, indicating that more information is necessary for understanding.
  • A participant notes that the source paper does not clarify what ##t_k## is, which contributes to their confusion.
  • A request is made for a reference to the paper being discussed.
  • A link to the paper is provided, specifying that the relevant discussion is in Chapter 2.
  • A mathematical expression is presented, detailing the relationship between ##x_k##, ##A_j##, and ##B_j##, along with a derivation that leads to a conclusion about the terms vanishing under certain conditions.
  • A later reply acknowledges the clarity of the mathematical explanation provided by another participant, indicating that it helped in understanding the topic.

Areas of Agreement / Disagreement

Participants do not appear to reach a consensus on the clarity of the derivation or the definitions involved, with multiple competing views on the straightforwardness of the process and the adequacy of the source material.

Contextual Notes

There are limitations regarding the definitions of variables such as ##t_k## and the clarity of the derivation steps, which remain unresolved in the discussion.

arcTomato
Messages
104
Reaction score
27
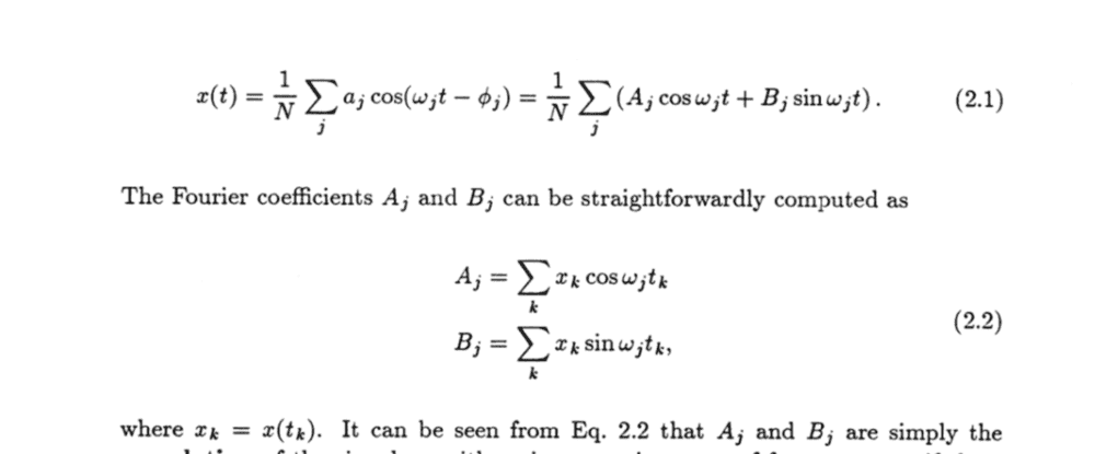
Homework Statement: I don't know how can I derivation Eq.(2.2)
Homework Equations: Fourier coefficients

Homework Statement: I don't know how can I derivation Eq.(2.2)
Homework Equations: Fourier coefficients

スクリーンショット 2019-10-17 12.18.05.png


Dear all.
I don't know how can I derivation Eq.(2.2).
Where Σk is come from??
 
Physics news on Phys.org
Moved from a HW section.
The derivation, which is described as capable of being "straightforwardly computed," doesn't seem at all obvious to me.
 
How is ##t_k## defined? I feel that more information is needed than the image you posted.

Mark44 said:
Moved from a HW section.
The derivation, which is described as capable of being "straightforwardly computed," doesn't seem at all obvious to me.
On that side note, I think words such as ”straightforwardly” or ”simply” simply do not belong in textbooks.
 
Thank you @Orodruin and I appreciate for your kindness.
This paper doesn’t refer to what ##t_k## is.
That’s is the point I can’t understand.
 
Can you give a reference to the paper?
 
##x_k=x(t_k) = \frac{1}{N}\sum_j A_j \cos \omega_j t_k + B_j \sin \omega_j t_k## , plug the solution:
##A_j = \sum_k x_k \cos \omega_j t_k , \ \ \ B_j = \sum_k x_k \sin \omega_j t_k##, and you get:
##x_k=\frac{1}{N} \sum_j \sum_m x_m \cos \omega_j t_m \cos_j t_k + x_m \sin \omega_j t_m \sin \omega_j t_k ##, if ##m\ne k##, then the term on the RHS will vanish, since on the the LHS there are no terms of this form, so the sum over ##m## becomes ##x_k(\cos^2 \omega_j t_k + \sin^2 \omega_j t_k)=x_k##, the sum over ##j## gives you the ##N## factor that cancels with ##N## in the denominator.
That's all there is to it.
 
  • Like
Likes   Reactions: arcTomato
Thanks for reply @MathematicalPhysicist (I like your name:smile:).
I got it! This is the easy-to-understand explanation.
I appreciate for you all.
 

Similar threads

  • · Replies 4 ·
Replies
4
Views
2K
  • · Replies 7 ·
Replies
7
Views
3K
  • · Replies 3 ·
Replies
3
Views
2K
  • · Replies 4 ·
Replies
4
Views
3K
  • · Replies 4 ·
Replies
4
Views
4K
  • · Replies 4 ·
Replies
4
Views
3K
  • · Replies 4 ·
Replies
4
Views
2K
  • · Replies 1 ·
Replies
1
Views
3K
  • · Replies 14 ·
Replies
14
Views
5K
  • · Replies 4 ·
Replies
4
Views
3K