Hamiltonian for a dimer approaching a surface

Click For Summary
SUMMARY

The discussion focuses on deriving the Hamiltonian for a dimer approaching a surface, emphasizing the fixed angle between the surface and the dimer while neglecting angular momentum. The kinetic energy term is derived from two masses parallel to the surface by separating center of mass and relative coordinates. The user seeks guidance on the derivation process and potential starting points for this problem.

PREREQUISITES
  • Understanding of Hamiltonian mechanics
  • Familiarity with kinetic energy derivation in multi-body systems
  • Knowledge of polar and azimuthal coordinates
  • Basic concepts of angular momentum in physics
NEXT STEPS
  • Study Hamiltonian mechanics in detail
  • Research kinetic energy derivation for two-body systems
  • Explore the use of polar and azimuthal coordinates in physics
  • Investigate the implications of neglecting angular momentum in physical models
USEFUL FOR

Physicists, graduate students in theoretical physics, and researchers working on molecular dynamics or surface interactions will benefit from this discussion.

AllenFaust
Messages
3
Reaction score
0
Thread moved from the technical forums, so no Homework Template is shown
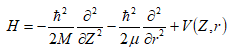
Hi! it's been a day since I have started this problem. I was wondering how I could arrive to this Hamiltonian?
And I'm a bit at a lost on how exactly to derive this? I hope anyone can help me with this, even a suggestion of good starting point would be much appreciated.

upload_2017-6-9_18-1-7.png


Basically the problem is to derive a hamiltonian for the system here.
upload_2017-6-9_18-2-6.png


Regarding this, I'm currently thinking of having a set of polar and azimuthal terms cancel out and thus leading to this maybe?

Thank you very much!
 

Attachments

  • upload_2017-6-9_18-0-52.png
    upload_2017-6-9_18-0-52.png
    544 bytes · Views: 456
Physics news on Phys.org
The model appears to assume that the angle between the surface and the dimer is fixed, and neglects angular momentum. The kinetic energy term can be derived starting from two masses parallel to the surface, then separating out center of mass and relative coordinates.
 

Similar threads

  • · Replies 2 ·
Replies
2
Views
3K
  • · Replies 3 ·
Replies
3
Views
2K
  • · Replies 0 ·
Replies
0
Views
3K
  • · Replies 13 ·
Replies
13
Views
3K
  • · Replies 1 ·
Replies
1
Views
2K
Replies
1
Views
6K
Replies
3
Views
2K
  • · Replies 11 ·
Replies
11
Views
6K
  • · Replies 1 ·
Replies
1
Views
2K
Replies
10
Views
21K