Hamiltonian in terms of ladders, question.

  • Context: Graduate 
  • Thread starter Thread starter ballzac
  • Start date Start date
  • Tags Tags
    Hamiltonian Terms
Click For Summary

Discussion Overview

The discussion revolves around expressing the Hamiltonian operator in terms of ladder operators, particularly in the context of quantum mechanics and quantum field theory. Participants explore the mathematical implications and seek clarification on the derivation process, while also touching on related concepts such as the cluster decomposition principle.

Discussion Character

  • Technical explanation
  • Conceptual clarification
  • Debate/contested
  • Homework-related

Main Points Raised

  • One participant expresses confusion about a derivation involving the Hamiltonian operator and ladder operators, noting a missing step and misunderstanding related to derivatives.
  • Another participant clarifies that operator identities can be proven by showing their action on functions, suggesting a specific interpretation of the operator notation used.
  • A later post introduces the cluster decomposition principle, discussing how all operators can be expressed as sums of creation and annihilation operators, and the implications for scattering matrix elements.
  • Some participants express feelings of being overwhelmed by the complexity of the discussion, particularly regarding quantum field theories.
  • There is a mention of a study group focused on Weinberg's QFT book, inviting others to join for discussions.

Areas of Agreement / Disagreement

Participants do not reach a consensus on the derivation of the Hamiltonian in terms of ladder operators, and multiple viewpoints regarding the interpretation of operators and their applications in quantum mechanics and field theory are presented.

Contextual Notes

Some participants acknowledge limitations in their mathematical understanding, and there are unresolved aspects regarding the derivation steps and the application of the cluster decomposition principle.

Who May Find This Useful

Students preparing for exams in quantum mechanics, individuals interested in quantum field theory, and those looking to understand the mathematical framework of ladder operators and their applications.

ballzac
Messages
100
Reaction score
0
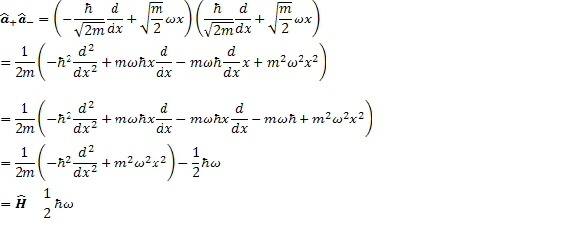
I'm preparing for an exam at the moment and in one of the past exams the is a question asking to prove that the hamiltonian operator can be expressed in terms of the ladder operators.

The solution is this
ham_lad.jpg

(The minus sign didn't come out in the last line, and obviously there is one more step that I left of the end, but you get the picture.)

Following this from the second to the third line seems to imply
ham2.jpg


But I would expect
ham3.jpg

because the derivative of x wrt x is 1. My maths isn't terribly good, and there is obviously something simple that I am missing, but I've been staring at this for days and can't seem to get it. Could someone please explain what I'm missing?

I could answer this question if it comes up on the exam, because I can remember how it goes, but I want to actually be able to understand it.

Thanks in advance.
 
Physics news on Phys.org
These are operators, acting on functions. If you want to prove an operator identity A=B, you can do it by proving that Af=Bf for all f.

In this case, writing D instead of d/dx because I'm lazy...

Dx should be interpreted as the operator that takes f to D(xf). So

(Dx)(f)=D(xf)=f+xDf=(1+xD)(f)

This implies that

Dx=(1+xD)
 
Thank you so much. I've been agonising over that for days, and you've just made it so simple. :)
 
ballzac said:
I'm preparing for an exam at the moment and in one of the past exams the is a question asking to prove that the hamiltonian operator can be expressed in terms of the ladder operators.

The solution is this
View attachment 14446
(The minus sign didn't come out in the last line, and obviously there is one more step that I left of the end, but you get the picture.)

Following this from the second to the third line seems to imply
View attachment 14447

But I would expect
View attachment 14448
because the derivative of x wrt x is 1. My maths isn't terribly good, and there is obviously something simple that I am missing, but I've been staring at this for days and can't seem to get it. Could someone please explain what I'm missing?

I could answer this question if it comes up on the exam, because I can remember how it goes, but I want to actually be able to understand it.

Thanks in advance.

BTW, an interesting issue by writing the Hamiltonian in terms of creation and annihilation operators is due to "cluster decomposition principle."

By counting the number of adjustable parameters, we can show that all operators can be written as a sum of products of creation and annihilation operators. Those creation/annihilation operators would satisfy commutation or anticommutation relation, [tex]\[a(q'),a^\dagger(q)] = \delta(q'-q)[/tex] or [tex]\{a(q'),a^\dagger(q')\}=\delta(q'-q)[/tex] according to the field being bosonic or fermionic.

Then you write down the scattering matrix element, and using the (anti-)commutation relations to move all the annihilation operators to the right, you would generate lots of delta functions. Now, assigning some graphical rule to the scattering matrix element, e.g. the delta function represented by a line, the interaction represented as a vertex...etc. You will see that the action that moving all the annihilation operators to the right decomposes the scattering matrix element into sum of connected pieces of diagrams.

For each connected scattering matrix element, we can argue from the basic topological theorem that the number of vertices and lines would satisfy certain relation. From this we could prove that the connected scattering matrix element can only contain exactly one spatial momentum delta function! which is required by cluster decomposition principle, i.e. distant experiments yield uncorrelated results.

(I'm reading Weinberg's QFT book, my status is at chap 4. The Cluster Decomposition Principle is addressed in chapter four, it's interesting.
Actually, I have a little study group here, anybody who interested in reading Weinberg's book is welcome to discuss with me.)
(BTW, Everybody is welcome to correct my concepts~)
 
Is there an 'over my head' emoticon?
:confused:
 
Don't worry about it. :smile: He's talking about quantum field theories where operators very similar to yours show up as creation and annihilation operators. They take n-particle states to (n+1)- or (n-1)-particle states, unless an annihilation operator acts on the vacuum (the 0-particle state) in which case the result is zero. Anyway, you were clearly talking about solving the Schrödinger equation with a harmonic oscillator potential, so you can forget about this for a couple of years.
 

Similar threads

  • · Replies 2 ·
Replies
2
Views
1K
  • · Replies 2 ·
Replies
2
Views
2K
  • · Replies 5 ·
Replies
5
Views
2K
  • · Replies 2 ·
Replies
2
Views
2K
  • · Replies 9 ·
Replies
9
Views
7K
  • · Replies 1 ·
Replies
1
Views
2K
  • · Replies 0 ·
Replies
0
Views
3K
  • · Replies 1 ·
Replies
1
Views
3K
  • · Replies 1 ·
Replies
1
Views
3K
  • · Replies 0 ·
Replies
0
Views
2K