Converting between field operators and harmonic oscillators

Click For Summary
SUMMARY

This discussion focuses on the challenges of converting Hamiltonians with field operators into harmonic oscillator ladder operators. The primary issue arises from the Hermicity of the Hamiltonian term, which is initially assumed to be Hermitian but reveals non-Hermitian characteristics upon integration by parts. The error stems from treating position and momentum representations interchangeably, leading to incorrect conclusions about the Hermicity of the derived expressions. The resolution involves careful notation and understanding of the field operator formalism.

PREREQUISITES
  • Understanding of Hamiltonian mechanics and quantum field theory
  • Familiarity with harmonic oscillator ladder operators
  • Knowledge of Hermitian operators and their properties
  • Proficiency in integration techniques, particularly in quantum mechanics
NEXT STEPS
  • Study the properties of Hermitian operators in quantum mechanics
  • Learn about the field operator formalism in quantum field theory
  • Explore the mathematical foundations of ladder operators in quantum mechanics
  • Investigate integration by parts in the context of quantum mechanics
USEFUL FOR

Quantum physicists, researchers in quantum field theory, and students studying advanced quantum mechanics concepts will benefit from this discussion.

SupernerdSven
Messages
19
Reaction score
0
TL;DR
I am trying to convert an expression written in terms of field operators and derivatives to be written in terms of ladder operators, but one expression seems to be Hermitian while the other isn't, so something is wrong.
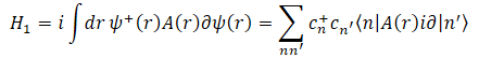
Suppose we have a Hamiltonian containing a term of the form

1592842076511.png


where ∂=d/dr and A(r) is a real function. I would like to study this with harmonic oscillator ladder operators. The naïve approach is to use

1592855821439.png


where I have set ħ=1 so that

1592855894918.png


This term is Hermitian because r and p both are.*

However, if we check for Hermicity in real space, we realize that

1592842145746.png


We integrated by parts in the third step. This is *not* Hermitian; it has an extra term.

What is the cause of this disagreement, and what is the proper way to study this Hamiltonian using the ladder operators?

----------

(Note: The actual Hamiltonian term I have is
1592842177540.png

which *is* Hermitian, but it suffers from a similar problem when expressed in the conventional form with all derivatives on ψ(r). In that case, an extra non-Hermitian term appears.)

----------

*Edit:
Thank you to HomogeneousCow for pointing out the sloppiness of my notation which treated the position representation of momentum as if it were the general operator. While correcting this sloppy notation I realized that my error was in the section marked with an asterisk. Clearly
1592857241276.png

is not Hermitian. Lesson learned, sloppy notation leads to careless mistakes.
 

Attachments

  • 1592842103603.png
    1592842103603.png
    1.7 KB · Views: 203
  • 1592842125773.png
    1592842125773.png
    2.8 KB · Views: 202
  • 1592857128314.png
    1592857128314.png
    1.3 KB · Views: 192
Last edited:
Physics news on Phys.org
I'm still reading your post, but it seems like there are some severe typos in the second equation as it makes no sense as it stands.

I expressed ##H_1## in the momentum basis and it is indeed non-Hermitian. Define the decomposition
$$\psi(x) = \int \frac{dk}{2\pi} a_k ~e^{ikx}$$ it follows that $$i\int dx A(x) \psi(x)^\dagger \frac{d}{dx} \psi(x) = - \int \frac{dk}{2\pi}\frac{dp}{2\pi} k ~\tilde A(p-k) a^{\dagger}_p~a_k$$ which is not hermitian. I don't want to be condescending but from your working it doesn't seem like you fully understand how the field operator formalism works, for example your third line of equation has position space functions and derivatives on the RHS which is supposed to be in a non-spatial basis.
 
Last edited:
Thank you for pointing out my abuse of notation, in treating the general momentum operator and its real-space representation as the same. I had been thinking of the derivative as the momentum operator. When editing the question to fix my notation, I realized my error. I have edited the question both to fix the and to make a note about the resolution.
 

Similar threads

  • · Replies 4 ·
Replies
4
Views
2K
  • · Replies 3 ·
Replies
3
Views
2K
  • · Replies 8 ·
Replies
8
Views
2K
  • · Replies 1 ·
Replies
1
Views
1K
  • · Replies 10 ·
Replies
10
Views
2K
  • · Replies 6 ·
Replies
6
Views
2K
  • · Replies 2 ·
Replies
2
Views
2K
  • · Replies 9 ·
Replies
9
Views
4K
  • · Replies 7 ·
Replies
7
Views
2K
  • · Replies 1 ·
Replies
1
Views
2K