Helium atom, variation method and virial theorem

Click For Summary
SUMMARY

The discussion focuses on calculating the ground state energy of a helium atom using the variational method with a specific wave function, $$\psi_{Z_e}(r_1,r_2)$$, where $$Z_e$$ is the effective charge. The Hamiltonian is composed of two hydrogen-like Hamiltonians and an interaction term. The expected value of the interaction term is $$\frac{5}{4}Z_eRy$$, with $$Ry$$ being the Rydberg constant (13.6 eV). The user identifies an error in their calculation of the kinetic energy, expecting it to be $$Z_{e}^2Ry$$ instead of $$ZZ_{e}Ry$$, and seeks clarification on this discrepancy.

PREREQUISITES
  • Understanding of quantum mechanics principles, particularly the variational method.
  • Familiarity with Hamiltonian mechanics and the concept of expectation values.
  • Knowledge of the Rydberg constant and its significance in atomic physics.
  • Basic grasp of the virial theorem and its application in quantum systems.
NEXT STEPS
  • Review the variational method in quantum mechanics, focusing on its application to multi-electron systems.
  • Study the derivation and implications of the virial theorem in quantum mechanics.
  • Examine the wave function for helium and its effective charge considerations in detail.
  • Consult "Introduction to Quantum Mechanics" by Griffiths, specifically Chapter 7, for a deeper understanding of the problem discussed.
USEFUL FOR

Students and researchers in quantum mechanics, particularly those studying atomic systems and the variational method for multi-electron atoms.

Aleolomorfo
Messages
70
Reaction score
4
I need to calculate the energy of the ground state of a helium athom with the variational method using the wave function:
$$\psi_{Z_e}(r_1,r_2)=u_{1s,Z_e}(r1)u_{1s, Z_e}(r2)=\frac{1}{\pi}\biggr(\frac{Z_e}{a_0}\biggr)^3e^{-\frac{Z_e(r_1+r_2)}{a_0}}$$
with ##Z_e## the effective charge considered as a variational parameter.
The Hamiltonian of the system is:
$$\hat{H}=\hat{H_1}+\hat{H_2} + \frac{e^2}{4\pi\epsilon_0|\vec{x_1}-\vec{x_2}|}$$
The first two terms are idrogen Hamiltonians for the two electrons and the third term is the interaction term.
The expection value of the interaction term is ##\frac{5}{4}Z_eRy## with ##Ry= 13.6 \space eV##.
For the first two term:
$$<\psi_{Z_e}|\hat{H_1}+\hat{H_2}|\psi_{Z_e}>$$
$$<u_{1s,Z_e}(r1)u_{1s,Z_e}(r2)|\hat{H_1}+\hat{H_2}|u_{1s,Z_e}(r1)u_{1s,Z_e}(r2)>$$
$$2<u_{1s,Z_e}(r1)|\hat{H_1}|u_{1s,Z_e}(r1)>$$
Since ##\hat{H_1}=\hat{T}+U## I can calculate:
$$<U> = <u_{Z_e}|U|u_{Z_e}>=-\frac{Ze^2}{4\pi\epsilon_0}<u_{Z_e}|\frac{1}{r}|u_{Z_e}>$$
$$<U>= \frac{Z}{4\pi\epsilon_0a_0} = -2ZZ_{e}Ry$$
Now I have used the virial theorem ##2<\hat{T}> + <U> = 0##, so:
$$<\hat{T}> = ZZ_{e}Ry$$
But this is wrogn because it should be ##Z_{e}^2Ry## and I do not see where is the mistake. Thank you in advance!
 
Physics news on Phys.org
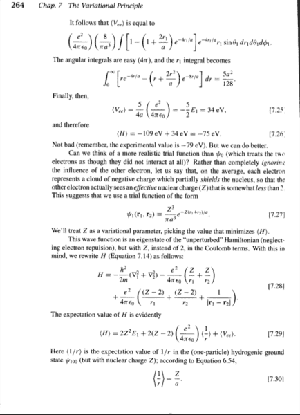
It's a know problem. You can find a cool explanation/solution in "Introduction to Quantum Mechanics" by Griffiths Chap 7 (p. 264). Here's an extract:
 

Attachments

  • Schermata 2018-05-15 alle 01.46.52.png
    Schermata 2018-05-15 alle 01.46.52.png
    28.6 KB · Views: 993
  • Schermata 2018-05-15 alle 01.47.02.png
    Schermata 2018-05-15 alle 01.47.02.png
    29.7 KB · Views: 1,232

Similar threads

  • · Replies 16 ·
Replies
16
Views
4K
  • · Replies 0 ·
Replies
0
Views
2K
  • · Replies 5 ·
Replies
5
Views
3K
  • · Replies 10 ·
Replies
10
Views
5K
Replies
4
Views
2K
  • · Replies 7 ·
Replies
7
Views
3K
  • · Replies 2 ·
Replies
2
Views
5K
  • · Replies 22 ·
Replies
22
Views
12K
  • · Replies 7 ·
Replies
7
Views
3K
  • · Replies 6 ·
Replies
6
Views
4K