How are singularity functions used in beam analysis?

Click For Summary
SUMMARY

Singularity functions are essential in beam analysis for modeling loads and reactions. The discussion highlights the transition between specific lines in an example, indicating a need for clarity in the application of these functions. The focus is on understanding how singularity functions simplify the representation of distributed loads and point loads in structural analysis. Participants are encouraged to provide clearer examples to enhance comprehension.

PREREQUISITES
  • Understanding of beam theory and structural analysis
  • Familiarity with singularity functions and their applications
  • Basic knowledge of load types in engineering mechanics
  • Proficiency in interpreting engineering diagrams and notations
NEXT STEPS
  • Study the application of singularity functions in beam loading scenarios
  • Explore examples of singularity functions in structural analysis textbooks
  • Learn about the integration of singularity functions in MATLAB for beam analysis
  • Investigate common mistakes in interpreting singularity function transitions in engineering problems
USEFUL FOR

Structural engineers, civil engineering students, and professionals involved in beam analysis and load modeling will benefit from this discussion.

hatchelhoff
Messages
64
Reaction score
0
HI
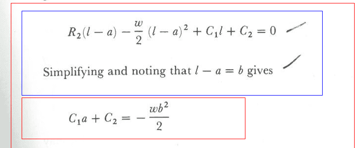
I am going through an example on signularity functions.
I don't understand how the author went from the line which I highlighted in blue to the line which I highlighted in red.
upload_2017-5-6_12-22-9.png
 
Engineering news on Phys.org
Sure. Could you focus a little bit ? Or retype the pertaining section ? :rolleyes:
 
Hope this helps
upload_2017-5-6_13-24-6.png
 

Attachments

  • upload_2017-5-6_13-23-56.png
    upload_2017-5-6_13-23-56.png
    14.2 KB · Views: 544

Similar threads

Replies
2
Views
2K
  • · Replies 1 ·
Replies
1
Views
2K
  • · Replies 2 ·
Replies
2
Views
2K
  • · Replies 4 ·
Replies
4
Views
5K
  • · Replies 2 ·
Replies
2
Views
3K
  • · Replies 2 ·
Replies
2
Views
2K
  • · Replies 3 ·
Replies
3
Views
2K
  • · Replies 2 ·
Replies
2
Views
3K
  • · Replies 2 ·
Replies
2
Views
8K
  • · Replies 9 ·
Replies
9
Views
3K