How Can Boolean Algebra Simplification Be Achieved?

Click For Summary

Discussion Overview

The discussion revolves around the simplification of Boolean algebra expressions, specifically focusing on the expression Y = A'B'C'D + A'B'CD + A'BC'D + A'BCD' + A'BCD + AB'C'D + AB'CD + ABC'D'. Participants seek to understand the process of simplification and explore various methods, including the use of Karnaugh maps and factoring techniques.

Discussion Character

  • Homework-related
  • Technical explanation
  • Debate/contested

Main Points Raised

  • Some participants express difficulty in simplifying the given Boolean expression and request a clear process for simplification.
  • One participant suggests breaking down the expression into manageable parts and factoring out common terms, such as A'B'D.
  • Another participant points out that a term was ignored in the initial attempts, which may have affected the simplification process.
  • Participants discuss the application of simplification rules and provide examples of how to approach similar expressions.
  • There are conflicting views on whether the expression can be simplified to a specific form, with some asserting it can be simplified while others express uncertainty.
  • One participant successfully simplifies part of the expression but is unsure how to proceed further.
  • Another participant confirms that a certain simplification step is correct, indicating some agreement on specific methods used.

Areas of Agreement / Disagreement

There is no clear consensus on the simplification process, as participants express differing opinions on the steps and methods used. Some agree on certain simplifications while others remain uncertain or challenge the validity of specific approaches.

Contextual Notes

Participants mention potential mistakes in their simplifications, such as ignoring terms or not reaching the expected result. The discussion reflects various assumptions and approaches without resolving the overall simplification question.

Who May Find This Useful

This discussion may be useful for students or individuals seeking to understand Boolean algebra simplification techniques and the challenges involved in the process.

Rossy
Messages
8
Reaction score
1

Homework Statement


[/B]
How to simplife it? I would like to see a process of simplification.

Y = A'B'C'D + A'B'CD + A'BC'D + A'BCD' + A'BCD + AB'C'D + AB'CD + ABC'D'

The ' denotes a bar over the previous letter.My second question is:

Y = BC + AB'D = (uploaded picture)

Y = A'D + B'D + A'BC + ABC'D' = ??

Homework Equations



Simplification Rules

The Attempt at a Solution



I tried it but can't get to the correct result.

The correct result should be (made through Karnaugh map):

Y = A'D + B'D + A'BC + ABC'D'Thank you for any advices and I'm sorry for my english.
 
Physics news on Phys.org
uploaded pic
 

Attachments

  • asd.PNG
    asd.PNG
    2.6 KB · Views: 531
Rossy said:
How to simplife it? I would like to see a process of simplification.

Y = A'B'C'D + A'B'CD + A'BC'D + A'BCD' + A'BCD + AB'C'D + AB'CD + ABC'D'
Hi Rossy. :welcome:

Break it down into manageable parts, e.g., look at "taking out a common factor"

A'B'C'D + A'B'CD = A'B'D(C' + C) = ?[/color]

Can you complete this simplification?
 
Hi NascantOxygen,

it's A'B'D

Could you look at the image I uploaded, it's my attempt.. as you can see I can't get to the right solution.
 

Attachments

  • 17821204_1861158663910241_608032167_n.jpg
    17821204_1861158663910241_608032167_n.jpg
    41.8 KB · Views: 634
The most obvious mistake is that you have ignored one term in the given expression, viz.,

+ A'BC'D +
 
In Boolean algebra you may encounter an expression such as (C + C' D) and wish to simplify it. One way is to AND the C term with something having the value TRUE, and I'll choose (1 + D) which has the value 1 because anything ORed with TRUE is TRUE.

C(1 + D) + C' D

= C.1 + CD + C'D

= C + D(C + C')

= C + D
 
So if I take this expression A'BC'D + ABC'D' I can simplyfy it like this BC'(A + D)(A' + D') but how do I continue?
 
Rossy said:
So if I take this expression A'BC'D + ABC'D' I can simplyfy it like this BC'(A + D)(A' + D') but how do I continue?
You can't go further with that. You have extracted the factor BC' and that's it.
 
So you can't get from this expression

Y = A'B'C'D + A'B'CD + A'BC'D + A'BCD' + A'BCD + AB'C'D + AB'CD + ABC'D'

to this expression by Boolean Algebra

Y = A'D + B'D + A'BC + ABC'D'
 
  • #10
Rossy said:
So you can't get from this expression

Y = A'B'C'D + A'B'CD + A'BC'D + A'BCD' + A'BCD + AB'C'D + AB'CD + ABC'D'

to this expression by Boolean Algebra

Y = A'D + B'D + A'BC + ABC'D'
Yes, it can be simplified to that.
 
  • #11
Can't get further...
 

Attachments

  • 17909202_1864590843567023_391484843_n.jpg
    17909202_1864590843567023_391484843_n.jpg
    11.7 KB · Views: 659
  • #12
Take two of these terms (shown in green) and simplify them using the help shown in post #6

A'BC + B'D + A'BC'D + ABC'D'
 
  • #13
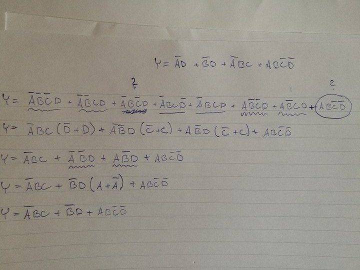
Is it right?
 

Attachments

  • 17918817_1865639636795477_1111429185_n.jpg
    17918817_1865639636795477_1111429185_n.jpg
    36.2 KB · Views: 1,173
  • #14
That is right.
 
  • #15
Thank you for your time and patience with me! :) The problem is solved.
 
  • Like
Likes   Reactions: NascentOxygen

Similar threads

  • · Replies 2 ·
Replies
2
Views
2K
  • · Replies 6 ·
Replies
6
Views
5K
  • · Replies 5 ·
Replies
5
Views
2K
  • · Replies 2 ·
Replies
2
Views
4K
  • · Replies 1 ·
Replies
1
Views
2K
  • · Replies 1 ·
Replies
1
Views
2K
  • · Replies 3 ·
Replies
3
Views
3K
  • · Replies 1 ·
Replies
1
Views
3K
Replies
6
Views
3K
  • · Replies 4 ·
Replies
4
Views
2K