How can I solve a non-homogeneous equation using substitution?

Click For Summary
SUMMARY

The discussion centers on solving a non-homogeneous equation using substitution, specifically the substitution of y=zx. The user initially attempted to solve a homogeneous equation but encountered difficulties due to the presence of non-homogeneous terms, specifically "+1" and "-1". The challenge lies in effectively separating the variables after substitution. The community provides insights on addressing these non-homogeneous components to facilitate a solution.

PREREQUISITES
  • Understanding of differential equations and their classifications
  • Familiarity with substitution methods in solving equations
  • Knowledge of variable separation techniques
  • Basic calculus concepts, including derivatives
NEXT STEPS
  • Research methods for solving non-homogeneous differential equations
  • Learn about the method of undetermined coefficients
  • Explore the variation of parameters technique for non-homogeneous equations
  • Study examples of variable separation in non-homogeneous contexts
USEFUL FOR

Students and professionals in mathematics, particularly those studying differential equations, as well as educators seeking to enhance their teaching methods in this area.

Joe20
Messages
53
Reaction score
1
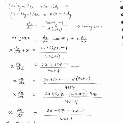
Hi, I have attached part of my steps for solving the homogeneous equation.
The equation is proven to be homogeneous. However after using substitution of y=zx and its' derivative, I was not able to separate the variables conveniently as shown. Please advise. Thank you!
 

Attachments

  • 11.png
    11.png
    15.2 KB · Views: 151
Physics news on Phys.org
The difficulty is that this equation is NOT homogenous because of the "+ 1" and "-1" terms.
 

Similar threads

  • · Replies 36 ·
2
Replies
36
Views
6K
  • · Replies 4 ·
Replies
4
Views
4K
  • · Replies 3 ·
Replies
3
Views
4K
  • · Replies 3 ·
Replies
3
Views
2K
  • · Replies 3 ·
Replies
3
Views
3K
  • · Replies 2 ·
Replies
2
Views
2K
  • · Replies 2 ·
Replies
2
Views
3K
Replies
8
Views
2K
  • · Replies 12 ·
Replies
12
Views
3K
  • · Replies 4 ·
Replies
4
Views
2K