How Do You Calculate Mutual Inductance in Toroidal Solenoids?

Click For Summary

Homework Help Overview

The discussion revolves around calculating the mutual inductance of two toroidal solenoids, focusing on the relationship between their physical dimensions and the magnetic properties involved. The original poster presents a formula for mutual inductance and seeks clarification on how to incorporate the mean radius into their calculations.

Discussion Character

  • Exploratory, Assumption checking, Mathematical reasoning

Approaches and Questions Raised

  • Participants discuss the formula for mutual inductance and question the inclusion of the mean radius in the calculations. There are attempts to clarify the relationship between the length of the coil and its radius, with some participants suggesting that the length should be expressed in terms of the radius.

Discussion Status

Participants are actively engaging with the problem, exploring different interpretations of the variables involved. Some guidance has been provided regarding the relationship between the length of the coil and the radius, leading to a clearer understanding of how to express the length in terms of the radius.

Contextual Notes

There is an emphasis on ensuring that the final expression for mutual inductance is in terms of the given variables, specifically the mean radius and the number of turns in each solenoid. Participants are working within the constraints of the problem statement and the assumptions about the magnetic field uniformity.

HelpPlease27
Messages
29
Reaction score
0

Homework Statement


A toroidal solenoid with mean radius r and cross-sectional area A is wound uniformly with N1 turns. A second toroidal solenoid with N2 turns is wound uniformly on top of the first, so that the two solenoids have the same cross-sectional area and mean radius.
What is the mutual inductance of the two solenoids? Assume that the magnetic field of the first solenoid is uniform across the cross section of the two solenoids.
Express your answer in terms of the variables N1, N2, A, r, magnetic constant μ0 and others appropriate constants.

Homework Equations




The Attempt at a Solution


M = μ0⋅N1⋅N2⋅A this is what I have so far and I know that I need to include the r in the equation somewhere but not really sure where or why. Could somebody please explain. Thank you.
 
Physics news on Phys.org
Hi,

Could you show your work ? There seems to be a dimension missing in your M
 
BvU said:
Hi,

Could you show your work ? There seems to be a dimension missing in your M

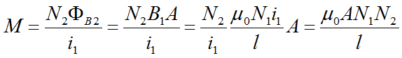
I just used the equation $$M = u_0*A*N_1*N_2/l$$ So I assume its the l I'm missing but how does it correspond to r
 

Attachments

  • upload_2016-11-24_14-11-27.png
    upload_2016-11-24_14-11-27.png
    2.1 KB · Views: 593
HelpPlease27 said:
I just used the equation $$M = u_0*A*N_1*N_2/l$$ So I assume its the l I'm missing but how does it correspond to r
If the coils were linear then l would be the length of the coils, right? If that length were bent into a circle...
 
gneill said:
If the coils were linear then l would be the length of the coils, right? If that length were bent into a circle...

I'm not sure
 
Check these coursenotes ( ©2004 Sen-ben Liao, Peter Dourmashkin, and John Belcher, MIT)
In particular (11.2.6) and (11.2.12) . If you confirm for yourself they are equivalent, M follows from (11.2.14)
 
HelpPlease27 said:
I'm not sure
If you take a line of length L and bend it to form a circle, can you find the radius of that circle?
 
gneill said:
If you take a line of length L and bend it to form a circle, can you find the radius of that circle?

Is l not the length of the coil with the turns already in it?
 
HelpPlease27 said:
Is l not the length of the coil with the turns already in it?
You're not given the length, you're given the radius r. Your answer should be put in terms of the given variables.
 
  • #10
gneill said:
You're not given the length, you're given the radius r. Your answer should be put in terms of the given variables.

Yes, so I need to convert l into r
 
  • #11
HelpPlease27 said:
Yes, so I need to convert l into r
Yes.
 
  • #12
gneill said:
Yes.

I don't know how to
 
  • #13
If you take a circle of radius r and cut it at one point and straighten it out into a line segment, how long is that line segment?
 
  • #14
gneill said:
If you take a circle of radius r and cut it at one point and straighten it out into a line segment, how long is that line segment?

2*pi*r
 
  • #15
HelpPlease27 said:
2*pi*r
Yes!
 
  • #16
So l = 2*pi*r
 
  • #17
HelpPlease27 said:
So l = 2*pi*r
Yes.
 
  • #18
gneill said:
Yes.

Thank you, got it now
 

Similar threads

  • · Replies 2 ·
Replies
2
Views
1K
  • · Replies 3 ·
Replies
3
Views
2K
Replies
2
Views
2K
  • · Replies 3 ·
Replies
3
Views
4K
  • · Replies 8 ·
Replies
8
Views
3K
Replies
7
Views
2K
  • · Replies 15 ·
Replies
15
Views
2K
  • · Replies 3 ·
Replies
3
Views
2K
Replies
13
Views
2K
  • · Replies 4 ·
Replies
4
Views
2K