How do you determine the sign of a magnetic field?

Click For Summary

Homework Help Overview

The discussion revolves around determining the sign and direction of magnetic fields produced by two parallel wires carrying currents in opposite directions. The original poster expresses uncertainty about calculating the resultant magnetic field and the reasoning behind the signs assigned to the fields.

Discussion Character

  • Conceptual clarification, Assumption checking

Approaches and Questions Raised

  • Participants discuss the use of the right-hand rule to determine the direction of the magnetic field. Questions arise regarding the sign convention for magnetic fields, particularly whether fields directed into or out of the page should be considered positive or negative.

Discussion Status

There is an ongoing exploration of the correct sign conventions and the application of the right-hand rule. Some participants have shared their interpretations and diagrams, while others have pointed out potential inconsistencies in the representations of the magnetic field directions. The discussion is productive, with participants seeking clarification and confirming their understanding of the concepts involved.

Contextual Notes

Participants mention the importance of adhering to a consistent sign convention and the potential for confusion when using different representations (e.g., dots and x's) for magnetic field directions. The original poster is focused on parts (a) and (b) of the problem and has indicated reliance on diagrams to aid their understanding.

Vladi

Homework Statement


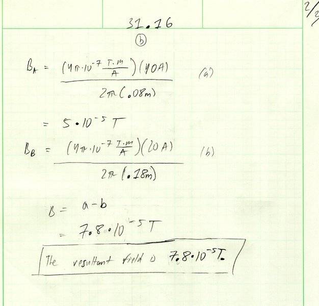
Two long fixed parallel wires, A and B, are 10 cm apart in air and carry 40 A and 20 A, respectively, in opposite directions. Determine the resultant field (a) on a line midway between the wires and parallel to them and (b) on a line 8.0 cm from wire A and 18 cm from wire B. (c) What is the force per meter on a third long wire, midway between A and B and in their plane, when it carries a current of 5.0 A in the same direction as the current in A?

Homework Equations


Fm=(I)(L)(B)*sin(theta)
B=(Uo*I)/(2*pi*r)

The Attempt at a Solution


How do you determine the sign of a magnetic field? I can calculate a magnetic field. How do you calculate a resultant field? I guessed the signs and put them on the paper, but I have no clue why they belong there. The answers are within the uploads. I am only concerned about parts a and b.
 

Attachments

  • 1.jpg
    1.jpg
    23.7 KB · Views: 868
  • 2.jpg
    2.jpg
    31.7 KB · Views: 835
  • 3.jpg
    3.jpg
    27.4 KB · Views: 794
Physics news on Phys.org
Electric and magnetic fields are vector quantities. A vector doesn't really have a sign. It has a magnitude (always positive) and a direction. (However, the component of a vector along a coordinate axis, such as Bx, can be positive or negative.)

You need to determine the direction of the B field produced by each wire at the location of the point of interest. You probably covered a right-hand rule for doing this. The total field at the point of interest will be the vector sum of the fields due to each wire.
 
  • Like
Likes   Reactions: Vladi
Is there some sort of sign convention I should be following? Is a magnetic field into the page considered to be positive and out of the page considered to be negative? If so, I'll just use the right hand rule. Thank you for your time.
 
Vladi said:
Is there some sort of sign convention I should be following? Is a magnetic field into the page considered to be positive and out of the page considered to be negative?
One could adopt a sign convention for a particular problem. But there is no fundamental reason why a certain direction would be considered to be "positive".
If so, I'll just use the right hand rule. Thank you for your time.
I think it's best to think in terms of vectors and use the right-hand rule to determine the directions of the vectors.
 
TSny said:
One could adopt a sign convention for a particular problem. But there is no fundamental reason why a certain direction would be considered to be "positive". I think it's best to think in terms of vectors and use the right-hand rule to determine the directions of the vectors.
I used the right hand rule to determine where the magnetic field is in and out. I used a sign convention and came up with the right answers. Please look at the attachments. Do my diagrams make sense?
 

Attachments

  • 1.jpg
    1.jpg
    26.9 KB · Views: 603
  • 2.jpg
    2.jpg
    28.2 KB · Views: 578
OK, I think your work is correct. (I haven't checked the actual numerical evaluations.) But it looks to me like you are using x's to denote out of the page and dots to indicate into the page. This is opposite to the usual convention.
 
Just to check, let me ask if you are using the "conventional current direction" in which current is in the direction that positive charge would flow. Or are you using the convention where current is in the direction that electrons are flowing?
 
The answers I wrote down are correct (I got them from the back of the book). Because I was guessing which signs were correct at first, I wanted to make sure I could determine the signs using a diagram. If the diagram is good, I think I understand this problem. My issue was understanding the right hand rule. I also need to make sure to follow the right convention. Dots mean out of the page. X's mean into the page.
TSny said:
Just to check, let me ask if you are using the "conventional current direction" in which current is in the direction that positive charge would flow. Or are you using the convention where current is in the direction that electrons are flowing?
I believe we are supposed to use conventional current direction. Point your thumb in the direction of the current. Place your fingers across your palm. In this position, the magnetic field is "in the page". If you rotate your wrist about the wire, your fingers will be in the position where the magnetic field is "out of the page".
 
Just to make sure, what would be the direction of the magnetic field at point ##a## and at point ##b## in the picture below?
upload_2017-9-3_17-17-46.png
 
  • #10
TSny said:
Just to make sure, what would be the direction of the magnetic field at point ##a## and at point ##b## in the picture below?
View attachment 210304
B is into the page. A is out of the page.
 
  • #11
Vladi said:
B is into the page. A is out of the page.
OK, good. But then, I don't think your drawings in post #5 show the correct directions for the field (assuming dots mean out of the page).
 
  • #12
TSny said:
OK, good. But then, I don't think you drawings in post #5 show the correct directions for the field (assuming dots mean out of the page).
If I flip the x's and dots, It should be right.
 
  • #13
Vladi said:
If I flip the x's and dots, It should be right. I'll re-post the diagrams
 
  • #14
Vladi said:
If I flip the x's and dots, It should be right.
Yes. No need to post a corrected diagram as long as you are sure you understand everything. For your final answers to parts (a) and (b) I would state the answers in terms of a magnitude and a direction, where the direction is very clear (such as "out of the page").
 
  • Like
Likes   Reactions: Vladi
  • #15
TSny said:
Yes. No need to post a corrected diagram as long as you are sure you understand everything. For your final answers to parts (a) and (b) I would state the answers in terms of a magnitude and a direction, where the direction is very clear (such as "out of the page").
Thank you for all your help. It is much appreciated.
 
  • #16
Vladi said:
Thank you for all your help. It is much appreciated.
OK. No problem.
 

Similar threads

Replies
2
Views
1K
Replies
16
Views
2K
Replies
2
Views
1K
Replies
4
Views
1K
Replies
2
Views
1K
Replies
14
Views
3K
  • · Replies 9 ·
Replies
9
Views
2K
  • · Replies 8 ·
Replies
8
Views
2K
  • · Replies 2 ·
Replies
2
Views
4K
Replies
7
Views
3K