How do you know when to partially differentiate?

  • Context: Undergrad 
  • Thread starter Thread starter Zheng_
  • Start date Start date
  • Tags Tags
    Differentiate
Click For Summary
SUMMARY

The discussion clarifies the distinction between partial and total differentiation in the context of flow acceleration and heat conduction equations. The flow acceleration equation, represented by du/dt, accounts for both local and convective acceleration, while the heat conduction equation, expressed as ∂T/∂t, focuses on temperature as a function of independent variables x and t. The key takeaway is that in fluid dynamics, the velocity of a particle changes due to both local and convective effects, whereas in heat conduction, temperature changes are independent of the motion of heat packets.

PREREQUISITES
  • Understanding of fluid dynamics concepts, specifically local and convective acceleration.
  • Familiarity with heat conduction principles and the heat equation.
  • Knowledge of partial differentiation and its application in physics.
  • Basic grasp of mathematical modeling in physical systems.
NEXT STEPS
  • Study the derivation and applications of the Navier-Stokes equations in fluid dynamics.
  • Explore the implications of the heat equation in thermal analysis and material science.
  • Learn about the differences between total and partial derivatives in multivariable calculus.
  • Investigate the role of boundary conditions in solving partial differential equations.
USEFUL FOR

Students and professionals in physics, engineering, and applied mathematics who are interested in the mathematical modeling of fluid flow and heat transfer phenomena.

Zheng_
Messages
24
Reaction score
1
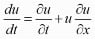
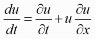
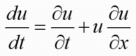
The equation of flow acceleration is
X83cvRw.png

X83cvRw

where du/dt is the global acceleration, and ∂u/∂t and u ∂u/∂x are local and convective acceleration respectively.
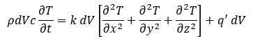
And the heat conduction equation is
bdjt0Hr.png

bdjt0Hr

which is heat stored = net heat flux + heat generated.

My question is: why does the ∂T/∂t part in the heat conduction equation is partially differentiated, while the du/dt part in the flow acceleration isn't?​
 

Attachments

  • X83cvRw.png
    X83cvRw.png
    4.3 KB · Views: 716
  • bdjt0Hr.png
    bdjt0Hr.png
    1.6 KB · Views: 538
Physics news on Phys.org
In the first equation, u is a function of x and t. At any instant (i.e. t constant) there is a velocity at each position x, and a gradient in the velocity field as we consider small changes in x. Likewise, at any location, we can observe particles at that point over time and note how the local velocity changes there.
But if we fix on a particle at some (x,t), not only is it accelerating because of the local acceleration, it may also be accelerating because it is moving to somewhere with a different local velocity. We are interested in how the velocity of this particle changes over time.
It can help to visualise this as a surface, where the horizontal coordinates are x and t, and the height is u. The slope in the x direction shows how much faster or slower nearby particles are moving at an instant, while the slope in the t direction shows how the velocity of particles observed at the fixed location changes with time.
The surface has a tangent plane at this location and time. The slope in any given direction from there can be deduced from the two coordinate slopes.
If we follow a particle from this location, it tracks in a "direction" given by its current speed, u. After time Δt its speed will have changed by ##+\Delta t\frac{\partial u}{\partial t}## by virtue of the acceleration (slope) ##\frac{\partial u}{\partial t}## in the time direction, and by ##\Delta x\frac{\partial u}{\partial x}## by virtue of the slope ##\frac{\partial u}{\partial x}## in the x direction. But we know that ##\Delta x=u\Delta t##, so ##\Delta u=u\Delta t\frac{\partial u}{\partial x}+\Delta t\frac{\partial u}{\partial t}##. Hence the equation you posted.
It is defining u as the velocity of a given particle that is key.

In the temperature equation, we are not fixing on some "packet" of heat that moves around. Instead, ##T=T(\vec x, t)##, where the position and time are independent. There is no ##\frac{dT}{dt}## to be considered. Of course, we could invent a bug that crawls around according to some ##\vec x=\vec x(t)## and ask how it experiences changing temperatures. Then we would have ##\frac{dT_{bug}}{dt}=\frac{\partial T}{\partial t}+\dot{\vec x}.\nabla T##.
 
  • Like
Likes   Reactions: Zheng_

Similar threads

  • · Replies 3 ·
Replies
3
Views
3K
  • · Replies 4 ·
Replies
4
Views
4K
  • · Replies 3 ·
Replies
3
Views
2K
  • · Replies 7 ·
Replies
7
Views
4K
  • · Replies 1 ·
Replies
1
Views
4K
  • · Replies 9 ·
Replies
9
Views
3K
  • · Replies 1 ·
Replies
1
Views
3K
  • · Replies 18 ·
Replies
18
Views
5K
  • · Replies 1 ·
Replies
1
Views
2K
  • · Replies 0 ·
Replies
0
Views
4K