How Does Energy Transformation Occur in Quantum Orbital Mechanics?

Click For Summary

Homework Help Overview

The discussion revolves around energy transformation in quantum orbital mechanics, specifically focusing on the relationship between kinetic energy (KE) and potential energy (PE) in the context of an electron's motion influenced by Coulomb forces. Participants are exploring the mathematical relationships and conceptual underpinnings of energy in orbital mechanics.

Discussion Character

  • Conceptual clarification, Mathematical reasoning, Assumption checking

Approaches and Questions Raised

  • Participants discuss the derivation of kinetic energy and potential energy equations, questioning the rationale behind certain mathematical manipulations and the significance of constants in energy equations. There is an exploration of the relationship between energy and radius, as well as the interpretation of results derived from equations.

Discussion Status

Some participants have provided clarifications regarding the definitions of kinetic and potential energy, while others are still grappling with the implications of these definitions and the mathematical steps involved. The conversation reflects a mix of understanding and confusion, with ongoing inquiries about specific aspects of the problem.

Contextual Notes

Participants mention the use of Gaussian units in electromagnetism, which may contribute to misunderstandings about dimensional accuracy and the treatment of constants in equations. There is also an acknowledgment of prior knowledge that may affect comprehension of the current problem.

lekh2003
Gold Member
Messages
539
Reaction score
342

Homework Statement


upload_2019-3-8_12-11-22.png


Homework Equations


I've used:
##mv^2/r## = Centripetal
##q^2/r^2## = Force pulling the electron in
A bunch of other ones which I really can't be bothered listing.

The Attempt at a Solution


I managed to get Part A of the question using pretty simple methods.

I set ##mv^2/r = q^2/r^2##
That gave me ##v = sqrt(q^2/mr)##

And I plugged that into the equation for KE and got ##q^2/2r##

Then I need to transform the change in energy to the energy lost per orbital, so I used the time it takes to take each orbit using some orbital formula: ##t=2πr/v##

Keep going, and keep going, and eventually I found an equation for the change in energy due to radiation of energy, which I compared as a ratio to the kinetic energy, and it was basically negligible as an effect.

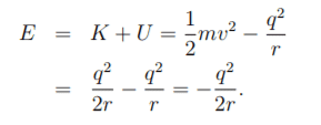
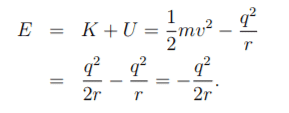
But Part B is beating me up. I really don't understand what to do. I was suspicious I must find a correlation between the energy and the radius, so I checked the solution and I got this:
upload_2019-3-8_12-19-39.png

However, I simply don't understand how they seemed to get these magical values.

After this, its some differential equations which I might have trouble understanding later, but right now I don't understand this step and what they're doing.

Thanks.
 

Attachments

  • upload_2019-3-8_12-11-22.png
    upload_2019-3-8_12-11-22.png
    57 KB · Views: 1,714
  • upload_2019-3-8_12-19-39.png
    upload_2019-3-8_12-19-39.png
    2.6 KB · Views: 1,337
Physics news on Phys.org
lekh2003 said:
But Part B is beating me up. I really don't understand what to do. I was suspicious I must find a correlation between the energy and the radius, so I checked the solution and I got this:
View attachment 239917
However, I simply don't understand how they seemed to get these magical values.
Could you clarify where you think the magic appears? Considering that you have found yourself the equation for KE, the derivation in the picture is quite straightforward.
 
I understad where K comes from. But why do we take away from K what is essentially 2K. What is ##q^2/r##?
 
lekh2003 said:
I understad where K comes from. But why do we take away from K what is essentially 2K. What is ##q^2/r##?
Can you tell us what exactly your doubt is? The ##q^2/r## is potential energy of electron in system where k=1
 
I apologize, I don't think I have my thoughts compiled very well.

Why is Energy = KE - PE, like E = ##q^2/2r - q^2/r##?

Also another issue I see, which might be separate is, why do they ignore constants here? Coulomb^2/metres is obviously not energy, but why are the constants that maintain dimensional accuracy eliminated?
 
lekh2003 said:
Why is Energy = KE - PE, like E = ##q^2/2r - q^2/r##?
As always, Energy is KE + PE. KE is ##q^2/r##, as you calculated yourself. As for the potential energy, it is the Coulomb interaction between two charges ##+q## (the nucleus) and ##-q## (the electron), hence ##U = -q^2/r##. (##q## is here the elementary charge).

lekh2003 said:
Also another issue I see, which might be separate is, why do they ignore constants here? Coulomb^2/metres is obviously not energy, but why are the constants that maintain dimensional accuracy eliminated?
They are not ignoring constants here, but rather are using the theoreticians favourite units for electromagnetism, Gaussian units. So the charge ##q## is in statcoulomb, ##r## in centimetre, and ##q^2/r## will be an energy in ergs.
 
DrClaude said:
As always, Energy is KE + PE. KE is q2/rq2/rq^2/r, as you calculated yourself. As for the potential energy, it is the Coulomb interaction between two charges +q+q+q (the nucleus) and −q−q-q (the electron), hence U=−q2/rU=−q2/rU = -q^2/r. (qqq is here the elementary charge).
Ohhh. That makes sense. I don't seem to understand why I didn't realize that. Thanks.
DrClaude said:
They are not ignoring constants here, but rather are using the theoreticians favourite units for electromagnetism, Gaussian units. So the charge qqq is in statcoulomb, rrr in centimetre, and q2/rq2/rq^2/r will be an energy in ergs.
Ohhh, this is one of those things which would've been helpful knowing prior to jumping into the problem. I guess it all makes sense now. If I had done the prereq courses with MIT maybe it would be fine, but thanks for the help.

I'll keep working.
 

Similar threads

Replies
46
Views
3K
  • · Replies 6 ·
Replies
6
Views
2K
  • · Replies 3 ·
Replies
3
Views
3K
  • · Replies 7 ·
Replies
7
Views
3K
  • · Replies 1 ·
Replies
1
Views
1K
  • · Replies 8 ·
Replies
8
Views
2K
  • · Replies 5 ·
Replies
5
Views
4K
  • · Replies 2 ·
Replies
2
Views
3K
Replies
5
Views
3K
Replies
4
Views
3K