How Does Gauss' Law Apply to Electric Fields in a Hollow Sphere?

Click For Summary

Homework Help Overview

The discussion revolves around applying Gauss' Law to determine the electric fields in a hollow sphere with inner radius R1 and outer radius R2, uniformly charged with total charge Q. Participants are exploring the calculation of electric fields in three distinct regions based on the sphere's geometry.

Discussion Character

  • Conceptual clarification, Mathematical reasoning, Assumption checking

Approaches and Questions Raised

  • Participants are attempting to understand how to apply Gauss' Law, particularly in relation to the charge distribution within the hollow sphere. Questions arise regarding the calculation of enclosed charge and the reasoning behind the reduction of the total charge Q in the context of different regions.

Discussion Status

The discussion is active, with participants seeking clarification on the application of charge density and the concept of enclosed charge. Some guidance has been offered regarding the relationship between charge density and volume, but there is still uncertainty about the treatment of the total charge Q in the calculations.

Contextual Notes

Participants are working under the constraints of a homework assignment, which may limit the information available and the assumptions that can be made about the problem setup.

underground
Messages
3
Reaction score
0
Hey I am currently studying for my final and I am stuck on a question i have the solution but I am not sure what he did, could someone explain

A hollow sphere of the inner radius R1 and outer radius R2 is uniformly charges with total charge Q. Calculate the electruc fiels in the three regions shown in the cross-section view below 1) r<R1, 2) R1 < r <R2, and 3) r >R2

pPKRZ.png


What i don't get is part two, i know he is using gauess law Q inclosed/e = E(r)*A
but i don't know how he got Q and reduced it
 
Physics news on Phys.org
welcome to pf!

hi underground! welcome to pf! :smile:
underground said:
A hollow sphere of the inner radius R1 and outer radius R2 is uniformly charges with total charge Q.

What i don't get is part two, … i don't know how he got Q and reduced it

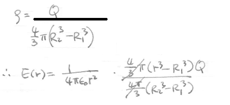
the total charge is Q, so the charge density is Q/volume = Q/{4π/3(R23 - R13)},

so the charge inside radius r is the density times the volume within radius r, ie 4π/3(r3 - R13) :wink:
 
Thanks for the respond I am getting there but can you explain one thing

I get what your saying but i don't see where the Q overall charge disappeard

P7rGZ.png


This is my logic of the question and the Q which is overall charge remained in the equation
 
suppose R1 was 0 (ie, a solid sphere) …

then the charge within radius r would be Q(r/R2)3, wouldn't it?

this is similar … the charge is Q times (volume/total-volume) :wink:
 
Thanks so much for your help :)
 

Similar threads

Replies
23
Views
5K
Replies
6
Views
2K
  • · Replies 2 ·
Replies
2
Views
2K
Replies
5
Views
1K
  • · Replies 12 ·
Replies
12
Views
8K
  • · Replies 2 ·
Replies
2
Views
2K
Replies
21
Views
4K
  • · Replies 18 ·
Replies
18
Views
5K
  • · Replies 5 ·
Replies
5
Views
6K
  • · Replies 2 ·
Replies
2
Views
2K