How does the Triangle Inequality apply in this situation?

Click For Summary

Discussion Overview

The discussion revolves around the application of the Triangle Inequality in a mathematical context, specifically in Spivak's Calculus. Participants explore the implications of sign changes in inequalities presented in the text and seek clarification on the relationships between various expressions involving real numbers.

Discussion Character

  • Technical explanation
  • Conceptual clarification
  • Debate/contested

Main Points Raised

  • One participant questions a sign change between lines in Spivak's book and suggests that the inequality may not hold for all integer cases.
  • Another participant explains that for any real number ##x##, it holds that ##x \leq |x|##, leading to the conclusion that ##ab \leq |a| \cdot |b|##.
  • A different participant provides a similar explanation but notes a difference in the steps taken, leading to a conclusion about the relationship between the expressions involving squares and products of ##a## and ##b##.
  • There is a discussion about the interpretation of the equality sign in the context of inequalities, emphasizing that it does not imply all expressions are equal, only those immediately adjacent to the sign.
  • One participant acknowledges a misunderstanding regarding the placement of the sign and the factor of 2 in the expressions, indicating a need for clarification.
  • Another participant confirms the correct form of the inequality involving the squares of the sums and products of ##a## and ##b##, suggesting that the Triangle Inequality holds under certain conditions.

Areas of Agreement / Disagreement

Participants express differing views on the implications of the inequalities and the correctness of the steps leading to conclusions. There is no clear consensus on the interpretation of the expressions or the validity of the inequalities presented.

Contextual Notes

Participants highlight the importance of understanding the conditions under which the inequalities hold, as well as the potential for confusion arising from the notation used in the expressions.

Seydlitz
Messages
262
Reaction score
4
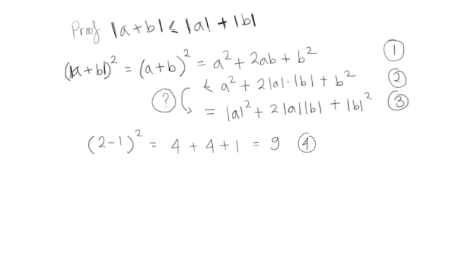
I'm beginning to read Spivak's Calculus 3ed, and everything is smooth until I reach page 12.

QNaq3XL.png


My question is marked, between line 2 and 3. Why there's such sign change suddenly? In fact I tried with simple line 4 case and it's not in fact equal. I'm assuming that a and b is valid for all integer case whether they are negative or not.

Then I read this:
http://math.ucsd.edu/~wgarner/math4c/derivations/other/triangleinequal.htm
(Please see to the Alternative Proof of the Triangle Inequality section)

It clearly contradicts what Spivak's book said in line 3. Then I think, whether he intends to do the case where a and b are both positive, but then the question arises why there's larger than sign in line 2 if that's the case.

Thanks
 
Last edited by a moderator:
Mathematics news on Phys.org
To go from line 1 to line 2, note that for any real number ##x##, we have ##x \leq |x|##. In particular, for ##x = ab##, we have ##ab \leq |ab|##. But of course ##|ab| = |a| \cdot |b|##, so the inequality becomes ##ab \leq |a| \cdot |b|##. We may now multiply this by 2, and add ##a^2 + b^2## to both sides to obtain
$$a^2 + 2ab + b^2 \leq a^2 + 2|a| \cdot |b| + b^2$$
To go from line 2 to 3, we simply recognize that since ##a## and ##b## are real, we have ##a^2 = |a|^2## and ##b^2 = |b|^2##. Therefore the right hand side of the above inequality is equal to ##|a|^2 + 2 |a| \cdot |b| + |b|^2##.

Combining all of the above, we conclude that
$$\begin{align}a^2 + 2ab + b^2 &\leq a^2 + 2|a| \cdot |b| + b^2 \\
&= |a|^2 + 2|a| \cdot |b| + |b|^2\end{align}$$
The proof at your link carries out the same steps, but in a different order, which is why the ##\leq## appears later.

Note that the ##=## sign in the above chain does NOT mean that all of the expressions are equal. Only the expressions immediately before and after the ##=## sign are equal. Since there is at least one ##\leq## in the chain, the correct conclusion is
$$(|a|+|b|)^2 \leq |a|^2 + 2|a| \cdot |b| + |b|^2$$
not
$$(|a|+|b|)^2 = |a|^2 + 2|a| \cdot |b| + |b|^2$$
 
Last edited:
  • Like
Likes   Reactions: 2 people
jbunniii said:
To go from line 1 to line 2, note that for any real number ##x##, we have ##x \leq |x|##. In particular, for ##x = ab##, we have ##ab \leq |ab|##. But of course ##|ab| = |a| \cdot |b|##, so the inequality becomes ##ab \leq |a| \cdot |b|##. We may now add ##a^2 + b^2## to both sides to obtain
$$a^2 + ab + b^2 \leq a^2 + |a| \cdot |b| + b^2$$
To go from line 2 to 3, we simply recognize that since ##a## and ##b## are real, we have ##a^2 = |a|^2## and ##b^2 = |b|^2##. Therefore the right hand side of the above inequality is equal to ##|a|^2 + |a| \cdot |b| + |b|^2##.

Combining all of the above, we conclude that
$$\begin{align}a^2 + ab + b^2 &\leq a^2 + |a| \cdot |b| + b^2 \\
&= |a|^2 + |a| \cdot |b| + |b|^2\end{align}$$
The proof at your link carries out the same steps, but in a different order, which is why the ##\leq## appears later.

Ah ok! I get what you're explaining. It seems clearer now. What I didn't get is the fact that the sign in line 2 is 'nested' to that of line 3. Not to the first original expression on the far left. You left out the factor 2 also but I assumed we can just multiply that in and adds ##a^2## and ##b^2##, in the beginning of your explanation.

(I was quite sleepy perhaps, sorry)

jbunniii said:
Note that the ##=## sign in the above chain does NOT mean that all of the expressions are equal. Only the expressions immediately before and after the ##=## sign are equal. Since there is at least one ##\leq## in the chain, the correct conclusion is
$$(|a|+|b|)^2 \leq |a|^2 + |a| \cdot |b| + |b|^2$$
not
$$(|a|+|b|)^2 = |a|^2 + |a| \cdot |b| + |b|^2$$
Do you mean the last part as this?
$$(|a+b|)^2 \neq |a|^2 + 2|a| \cdot |b| + |b|^2$$

Because I think this is true. (I added the missing 2, because without it even the first inequality wouldn't hold)
$$(|a|+|b|)^2 = |a|^2 + 2|a| \cdot |b| + |b|^2$$

and thus
$$(|a+b|)^2 \leq |a|^2 + 2|a| \cdot |b| + |b|^2 = (|a|+|b|)^2$$

Thanks for your help!
 
Last edited:
Yes, sorry, I left the 2 out of both expressions. I'll edit my post now to avoid confusion.
 
Seydlitz said:
Ah ok! I get what you're explaining. It seems clearer now. What I didn't get is the fact that the sign in line 2 is 'nested' to that of line 3. Not to the first original expression on the far left.
Yes, that's right. In general, something of the form ##X \leq Y = Z## means "##X \leq Y## and ##Y = Z##", from which it follows that ##X \leq Z##.
 

Similar threads

  • · Replies 1 ·
Replies
1
Views
2K
  • · Replies 5 ·
Replies
5
Views
3K
Replies
1
Views
1K
Replies
1
Views
2K
Replies
6
Views
2K
Replies
2
Views
4K
  • · Replies 38 ·
2
Replies
38
Views
8K
  • · Replies 5 ·
Replies
5
Views
3K
  • · Replies 80 ·
3
Replies
80
Views
9K
  • · Replies 58 ·
2
Replies
58
Views
6K