How Many Electrons Pass Through a Capacitor When Discharged?

  • Thread starter Thread starter HazyMan
  • Start date Start date
  • Tags Tags
    division
Click For Summary

Homework Help Overview

The discussion revolves around a capacitor with a capacitance of 20μF connected to a 24V source, focusing on the number of electrons that pass through the capacitor when it is discharged. Participants explore the relationship between charge, current, and time, while addressing the conversion of units, particularly microcoulombs.

Discussion Character

  • Exploratory, Conceptual clarification, Mathematical reasoning, Assumption checking

Approaches and Questions Raised

  • Participants discuss the calculation of charge using the formula q=C⋅V and the subsequent determination of the number of electrons. Questions arise about unit conversions, particularly the meaning of micro (μ) and how to handle powers of ten in calculations.

Discussion Status

The discussion is active, with participants providing guidance on unit conversions and mathematical manipulations. There is a recognition of the need to clarify the role of the micro prefix and its implications in calculations. Multiple interpretations of the problem are being explored, particularly regarding the significance of the time factor in the context of the exercise.

Contextual Notes

Participants express confusion regarding the relevance of the time variable in the calculations and the proper handling of unit prefixes. There is an acknowledgment of the complexity involved in understanding the relationships between charge, current, and time in the context of capacitor discharge.

HazyMan
Messages
51
Reaction score
3
Member advised to use the formatting template for all homework help requests
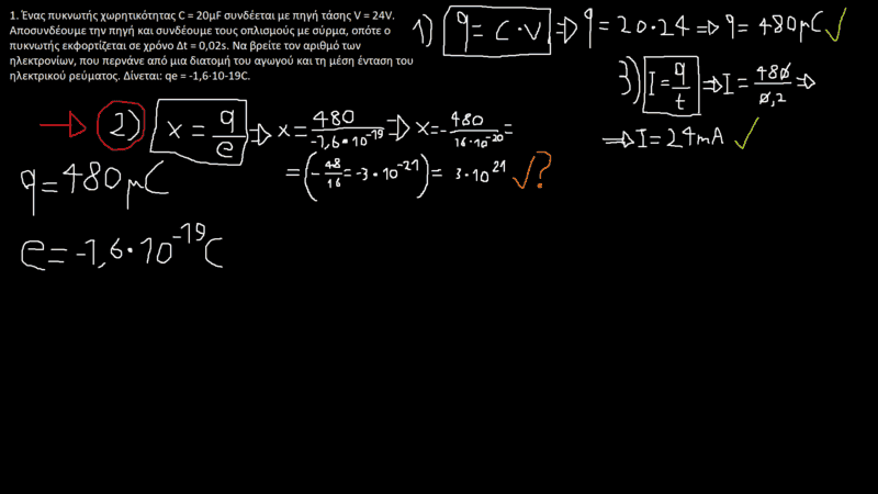
1. A capacitor with a capacity of C= 20μF is connected to a source with a voltage of V=24V. We unplug the source from the capacitor and we then connect it with a wire and the capacitor gets charged in a time of Δt=0.2s. Figure out the number of electrons that pass go to the capacitor and the current. Given: -1.6x10-19

2. q=C⋅V , x=q/e , I=q/t

3. A picture should be somewhere in the forum, showing a solution attempt. By the way, i am only stuck at question 2). I only need to learn how to divide such kind of numbers and then the exercise will be complete.
 

Attachments

  • hard division.png
    hard division.png
    16.2 KB · Views: 467
Last edited:
Physics news on Phys.org
The trick is to write the quotient in terms you can handle: What does ##\mu ## mean? Where are the Coulombs in the denominator have gone to? Can you write ##1.6 \cdot 10^{-19}## as ##16 \cdot\ldots \,##? How would you handle ##\dfrac{a\cdot b}{c \cdot d}## if ##c\,|\,a## and ##d\,|\, b\,?##
 
fresh_42 said:
The trick is to write the quotient in terms you can handle: What does ##\mu ## mean? Where are the Coulombs in the denominator have gone to? Can you write ##1.6 \cdot 10^{-19}## as ##16 \cdot\ldots \,##? How would you handle ##\dfrac{a\cdot b}{c \cdot d}## if ##c\,|\,a## and ##d\,|\, b\,?##
Are you trying to give examples or are you actually asking? If you're asking, μC means microcoulomb and i forgot to add the symbol in the denominator, sorry.
 
HazyMan said:
Are you trying to give examples or are you actually asking? If you're asking, μC means microcoulomb and i forgot to add the symbol in the denominator, sorry.
I actually ask, because the answers to those questions will guide you to the solution. Btw., I wanted to know the numerical value of micro, not it's writing.
 
fresh_42 said:
I actually ask, because the answers to those questions will guide you to the solution. Btw., I wanted to know the numerical value of micro, not it's writing.
Ok, so:
1C is equal to 1.000.000μC.
Is that what you mean? I'm sorry for any irrelevant answers i might reply with.
 
HazyMan said:
Ok, so:
1C is equal to 1.000.000μC.
Is that what you mean? I'm sorry for any irrelevant answers i might reply with.
Yes, but it is the complicated answer, as you said ##1= 1,000,000\mu## which means ##\mu = \frac{1}{1,000,000}##. No write this in powers of ##10##, and also solve ##1.6\cdot 10^{-19}=16 \cdot 10^{z}##. What is ##z##?
 
fresh_42 said:
Yes, but it is the complicated answer, as you said ##1= 1,000,000\mu## which means ##\mu = \frac{1}{1,000,000}##. No write this in powers of ##10##, and also solve ##1.6\cdot 10^{-19}=16 \cdot 10^{z}##. What is ##z##?
What do you mean with powers of 10? Also, what does z mean?
 
HazyMan said:
What do you mean with powers of 10? Also, what does z mean?
Do you know what ##10^{-1}## stands for? If yes, then what is ##\mu = \dfrac{1}{1,000,000}\,?##
Before you solve a problem, you should understand it, especially what your symbols mean.
##z## is the power, which makes ##1.6 \cdot 10^{-19}## into ##16 \cdot \ldots##
 
  • Like
Likes   Reactions: HazyMan
HazyMan said:
What do you mean with powers of 10? Also, what does z mean?

Google "powers of 10" to see numerous explanatory articles, with examples. It is not difficult, but it may be unfamiliar to you; if so, you need to remedy that, especially if you plan to study physics or engineering.
 
  • Like
Likes   Reactions: HazyMan
  • #10
fresh_42 said:
Do you know what ##10^{-1}## stands for? If yes, then what is ##\mu = \dfrac{1}{1,000,000}\,?##
Before you solve a problem, you should understand it, especially what your symbols mean.
##z## is the power, which makes ##1.6 \cdot 10^{-19}## into ##16 \cdot \ldots##
ok so I'm replying late, but: μ= 1/106.
now what is left is finding what the Z is
EDIT: I figured out the Z to be -20.
1.6x10-19=16x10-20
 
Last edited:
  • #11
Today i came up with this. Is it correct?
 

Attachments

  • hard division.png
    hard division.png
    17 KB · Views: 302
  • #12
HazyMan said:
Today i came up with this. Is it correct?
The ##3## is correct, but you have to collect the right number of digits, will say powers of ##10##. And, yes, ##1.6\cdot 10^{-19}=16\cdot 10^{-20}##. So we have ##-x=\dfrac{480\,\mu C}{1.6\cdot 10^{-19}C}= \dfrac{480\,\mu C}{16\cdot 10^{-20}C}= \dfrac{480}{16}\cdot \dfrac{\mu}{10^{-20}}\cdot \dfrac{C}{C}\,.##

Now where has the ##\mu## gone to? And what is the power ##n## in ##\dfrac{480}{16}= 3\cdot 10^n\,?##

Although your notations are a bit confusing, I think you have everything write (##n=1\; , \;\dfrac{1}{10^{-20}}=10^{20}##), except that you seem to have forgotten the micro!
 
Last edited:
  • #13
fresh_42 said:
The ##3## is correct, but you have to collect the right number of digits, will say powers of ##10##. And, yes, ##1.6\cdot 10^{-19}=16\cdot 10^{-20}##. So we have ##-x=\dfrac{480\,\mu C}{1.6\cdot 10^{-19}C}= \dfrac{480\,\mu C}{16\cdot 10^{-20}C}= \dfrac{480}{16}\cdot \dfrac{\mu}{10^{-20}}\cdot \dfrac{C}{C}\,.##

Now where has the ##\mu## gone to? And what is the power ##n## in ##\dfrac{480}{16}= 3\cdot 10^n\,?##

Although your notations are a bit confusing, I think you have everything write (##n=1\; , \;\dfrac{1}{10^{-20}}=10^{20}##), except that you seem to have forgotten the micro!

All i did was 48/16 (i took out the 0 from 48) which gave me 3. then i added the 0 that i took, and put it in -20-, which gave me -21-. That's how i came up with 3x1021
 
  • #14
HazyMan said:
All i did was 48/16 (i took out the 0 from 48) which gave me 3. then i added the 0 that i took, and put it in -20-, which gave me -21-. That's how i came up with 3x1021
Yep, that was right. However, the question remains: Where did the ##\mu## go to?
 
  • Like
Likes   Reactions: HazyMan
  • #15
fresh_42 said:
Yep, that was right. However, the question remains: Where did the ##\mu## go to?
Well I'm kinda confused. Did i have to add in 480/16 x 1000000/10-20 where 480/16 x μ/10-20?
 
  • #16
HazyMan said:
Well I'm kinda confused. Did i have to add in 480/16 x 1000000/10-20 where 480/16 x μ/10-20?
Sure, only that ##\mu \neq 1000000## but ##\mu = 0.000001 = 10^{-6}##. If you had to walk ##10\,km##, would you equal this to ##10\,m##? The ##\mu## (micro) is nothing else than the ##k## (kilo). Have a look: https://en.wikipedia.org/wiki/Unit_prefix All these prefixes only abbreviate a multiplicative factor of a power of ten! For a kilo we have a thousand (times), for a milli we have a thousandth (times), a giga is a billion (times), a nano a billionth (times) and so on.
 
  • Like
Likes   Reactions: HazyMan
  • #17
fresh_42 said:
Sure, only that ##\mu \neq 1000000## but ##\mu = 0.000001 = 10^{-6}##. If you had to walk ##10\,km##, would you equal this to ##10\,m##? The ##\mu## (micro) is nothing else than the ##k## (kilo). Have a look: https://en.wikipedia.org/wiki/Unit_prefix All these prefixes only abbreviate a multiplicative factor of a power of ten! For a kilo we have a thousand (times), for a milli we have a thousandth (times), a giga is a billion (times), a nano a billionth (times) and so on.
yea sorry i got that wrong. what else is left now, for the exercise to be complete?
 
  • #18
HazyMan said:
yea sorry i got that wrong. what else is left now, for the exercise to be complete?
I'm not quite sure what you need. What you have so far is ##x=3\cdot 10^{21} \cdot \mu\,## [no units anymore!] so you need to replace ##\mu## which yield the correct ##x## which I think is all that's left.
 
  • #19
fresh_42 said:
I'm not quite sure what you need. What you have so far is ##x=3\cdot 10^{21} \cdot \mu\,## [no units anymore!] so you need to replace ##\mu## which yield the correct ##x## which I think is all that's left.
well I've definitely gotten some help from this thread, however i am left quite confused. the 3x1021 are meant to be electrons that went into the exercise's capacitor as it got charged in 0.2 seconds. however the 0.2 seconds are not any helpful in the specific equation/division that I am trying to solve. anyway, thank's for your help, it's greatly appreciated!
 
  • #20
HazyMan said:
well I've definitely gotten some help from this thread, however i am left quite confused. the 3x1021 are meant to be electrons that went into the exercise's capacitor as it got charged in 0.2 seconds. however the 0.2 seconds are not any helpful in the specific equation/division that I am trying to solve. anyway, thank's for your help, it's greatly appreciated!
##10^{21}\neq 10^{21}\mu = 10^n##. What is ##n##?

I get: ##I=2,4\, mA\; , \;Q=480 \,\mu C## and ##x## electrons. I think you had ##I=24\,mA## which is too high.
 
Last edited:
  • #21
fresh_42 said:
##10^{21}\neq 10^{21}\mu = 10^n##. What is ##n##?
how is 1021 not equal to 1021?
 
  • #22
HazyMan said:
how is 1021 not equal to 1021?
That is not what I wrote. I said ##1.000.000.000.000.000.000.000 \neq 1.000.000.000.000.000.000.000\cdot ##μ
You must multiply by ##\mu = 0,000001 = \dfrac{1}{1.000.000}## same as a marathon isn't 42,195 meters, it is 42,195 kilometers, which is ##42,195 \,km=42,195 \cdot k \cdot m= 42,195 \cdot 1000 \cdot m = 42.195 \,m##. That's a lot more than 42 meter, and ##10^{21}\cdot \mu## is a lot less than ##10^{21}\,.##
 
  • #23
fresh_42 said:
##10^{21}\neq 10^{21}\mu = 10^n##. What is ##n##?

I get: ##I=2,4\, mA\; , \;Q=480 \,\mu C## and ##x## electrons. I think you had ##I=24\,mA## which is too high.
24mA is actually the correct answer. my solutions book says so, it just doesn't exactly explain the procedure to finding it but that one is fine
 
  • #24
fresh_42 said:
##10^{21}\neq 10^{21}\mu = 10^n##. What is ##n##?

I get: ##I=2,4\, mA\; , \;Q=480 \,\mu C## and ##x## electrons. I think you had ##I=24\,mA## which is too high.
is n 1015?
 
  • Like
Likes   Reactions: fresh_42
  • #25
Okay soo, could you explain the entire procedure we went through to solve the exercise, in one text/reply? Maybe that would help me out more
 
  • #26
HazyMan said:
24mA is actually the correct answer. my solutions book says so, it just doesn't exactly explain the procedure to finding it but that one is fine
Yes, you are right. I used ##0,2\,s## instead of ##0,02\,s##.
 
  • Like
Likes   Reactions: HazyMan
  • #27
O.k. but only as we already have all ingredients.

We have given: a capacity of ##Cap=20 \,\mu F =20\,\mu \frac{C}{V}##, a voltage of ##U= 24\,V## and a time span of ##t=0,02\,s\,.##

I will use the comma as separation sign, that is I will write ##\frac{1}{2}=0,5\,.## I think we are both used to this standard and I don't want to confuse you with a point as separator (American notation). I also write ##Cap## for capacity, to avoid confusion with the ##C## for Coulomb; and ##U## for voltage, to avoid confusion with ##V ## for Volt. ##F## are Farad, and ##As## Ampère times seconds.

I first calculated the load, same as you did:
$$Q=Cap \cdot U=20 \cdot \frac{\mu C}{V}\cdot 24\,V=480\mu \cdot C= 480 \cdot 10^{-6} \cdot C = 480 \cdot 10^{-6}\, A\cdot s$$
This results in a current, same as you did:
$$
I=\dfrac{Q}{t}=\dfrac{480 \mu \,As}{0,02\,s}=\dfrac{48000 \cdot 10^{-6}\,As}{2\,s}= 24000\cdot 10^{-6} \,A = 24 \cdot 10^{3}\cdot 10^{-6}\,A=24 \cdot 10^{-3}
\,A= 24\,mA
$$
And last the number of electrons, which you denoted by ##x##:
$$
x=\dfrac{Q}{e}=\dfrac{480\,\mu C}{1,6\cdot 10^{-19}\, C}=\dfrac{4800}{16} \cdot 10^{-6} \cdot \dfrac{1}{10^{-19}}=300 \cdot 10^{-6+19}=3 \cdot 10^2 \cdot 10^{13}= 3\cdot 10^{15}
$$

As an additional homework, I give you this to read: https://www.physicsforums.com/insights/10-math-tips-save-time-avoid-mistakes/
 
  • Like
Likes   Reactions: HazyMan
  • #28
fresh_42 said:
O.k. but only as we already have all ingredients.

We have given: a capacity of ##Cap=20 \,\mu F =20\,\mu \frac{C}{V}##, a voltage of ##U= 24\,V## and a time span of ##t=0,02\,s\,.##

I will use the comma as separation sign, that is I will write ##\frac{1}{2}=0,5\,.## I think we are both used to this standard and I don't want to confuse you with a point as separator (American notation). I also write ##Cap## for capacity, to avoid confusion with the ##C## for Coulomb; and ##U## for voltage, to avoid confusion with ##V ## for Volt. ##F## are Farad, and ##As## Ampère times seconds.

I first calculated the load, same as you did:
$$Q=Cap \cdot U=20 \cdot \frac{\mu C}{V}\cdot 24\,V=480\mu \cdot C= 480 \cdot 10^{-6} \cdot C = 480 \cdot 10^{-6}\, A\cdot s$$
This results in a current, same as you did:
$$
I=\dfrac{Q}{t}=\dfrac{480 \mu \,As}{0,02\,s}=\dfrac{48000 \cdot 10^{-6}\,As}{2\,s}= 24000\cdot 10^{-6} \,A = 24 \cdot 10^{3}\cdot 10^{-6}\,A=24 \cdot 10^{-3}
\,A= 24\,mA
$$
And last the number of electrons, which you denoted by ##x##:
$$
x=\dfrac{Q}{e}=\dfrac{480\,\mu C}{1,6\cdot 10^{-19}\, C}=\dfrac{4800}{16} \cdot 10^{-6} \cdot \dfrac{1}{10^{-19}}=300 \cdot 10^{-6+19}=3 \cdot 10^2 \cdot 10^{13}= 3\cdot 10^{15}
$$

As an additional homework, I give you this to read: https://www.physicsforums.com/insights/10-math-tips-save-time-avoid-mistakes/

I've been trying to analyze this for a while and I'm quite confused as to what exactly you did in the first equation and why you came up with μA. Is there maybe something else that i need to look up, besides the powers of 10?
 
  • #29
HazyMan said:
I've been trying to analyze this for a while and I'm quite confused as to what exactly you did in the first equation and why you came up with μA. Is there maybe something else that i need to look up, besides the powers of 10?
I don't know which equation you mean. ##\mu = 10^{-6}## and you can use either of them. Originally it came from the twenty micro Farad capacity, which was given. Now as ##\mu = 10^{-6}\; , \;1\,F= 1 \,C\cdot V^{-1}## and ##1\,C = 1\,A\cdot s## we have a capacity of ##Cap = 20\,\mu F = 20 \cdot 10^{-6} \cdot A \cdot s \cdot \frac{1}{V}\,.##
 
  • #30
fresh_42 said:
I don't know which equation you mean. ##\mu = 10^{-6}## and you can use either of them. Originally it came from the twenty micro Farad capacity, which was given. Now as ##\mu = 10^{-6}\; , \;1\,F= 1 \,C\cdot V^{-1}## and ##1\,C = 1\,A\cdot s## we have a capacity of ##Cap = 20\,\mu F = 20 \cdot 10^{-6} \cdot A \cdot s \cdot \frac{1}{V}\,.##
I'm referring to the first question where you calculated the load
 

Similar threads

  • · Replies 11 ·
Replies
11
Views
2K
Replies
1
Views
2K
  • · Replies 3 ·
Replies
3
Views
3K
Replies
6
Views
1K
  • · Replies 1 ·
Replies
1
Views
3K
  • · Replies 14 ·
Replies
14
Views
2K
  • · Replies 7 ·
Replies
7
Views
2K
  • · Replies 3 ·
Replies
3
Views
2K
Replies
10
Views
5K
Replies
4
Views
2K