How Many Electrons Pass Through a Capacitor When Discharged?

  • Thread starter Thread starter HazyMan
  • Start date Start date
  • Tags Tags
    division
Click For Summary

Homework Help Overview

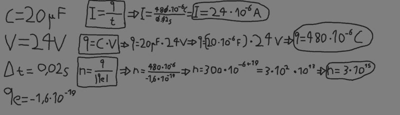
The discussion revolves around a capacitor with a capacitance of 20μF connected to a 24V source, focusing on the number of electrons that pass through the capacitor when it is discharged. Participants explore the relationship between charge, current, and time, while addressing the conversion of units, particularly microcoulombs.

Discussion Character

  • Exploratory, Conceptual clarification, Mathematical reasoning, Assumption checking

Approaches and Questions Raised

  • Participants discuss the calculation of charge using the formula q=C⋅V and the subsequent determination of the number of electrons. Questions arise about unit conversions, particularly the meaning of micro (μ) and how to handle powers of ten in calculations.

Discussion Status

The discussion is active, with participants providing guidance on unit conversions and mathematical manipulations. There is a recognition of the need to clarify the role of the micro prefix and its implications in calculations. Multiple interpretations of the problem are being explored, particularly regarding the significance of the time factor in the context of the exercise.

Contextual Notes

Participants express confusion regarding the relevance of the time variable in the calculations and the proper handling of unit prefixes. There is an acknowledgment of the complexity involved in understanding the relationships between charge, current, and time in the context of capacitor discharge.

  • #31
Load is capacity times voltage. Capacity is given as ##20\,\mu F## which is (see previous post) equal to ##20\cdot 10^{-6}\cdot A\cdot s \cdot V^{-1}\,.## Voltage is given as ##24\,V## so the Volt cancel in the product and we are left with ##Q=20\cdot \mu \cdot F \cdot 24 \cdot V = 480\cdot \mu \cdot F\cdot V= 480 \cdot \mu \cdot A \cdot s \cdot V^{-1} \cdot V = 480\cdot 10^{-6} \cdot A \cdot s##
 
Physics news on Phys.org
  • #32
I finally managed to understand where i went wrong.
This is what i came up with. (I initially thought of taking 300x1013 altogether and take the 0 zeroes from the 300 and put them on the 13 which would give me 3x1015 but i thought it was wrong. However it realized that both methods work, but i used yours anyway.
Thanks a lot for your help!
 

Attachments

  • finally solved this exercise.png
    finally solved this exercise.png
    12.1 KB · Views: 350

Similar threads

  • · Replies 11 ·
Replies
11
Views
2K
Replies
1
Views
2K
  • · Replies 3 ·
Replies
3
Views
3K
Replies
6
Views
1K
  • · Replies 1 ·
Replies
1
Views
3K
  • · Replies 14 ·
Replies
14
Views
2K
  • · Replies 7 ·
Replies
7
Views
2K
  • · Replies 3 ·
Replies
3
Views
2K
Replies
10
Views
5K
Replies
4
Views
2K