How to calculate Apparent Weight of a passenger in a car going over a bump?

Click For Summary

Homework Help Overview

The discussion revolves around calculating the apparent weight of a passenger in a car going over a bump, focusing on the relationship between normal force and apparent weight within the context of circular motion and forces acting on the vehicle.

Discussion Character

  • Exploratory, Conceptual clarification, Assumption checking

Approaches and Questions Raised

  • Participants explore whether the normal force equates to apparent weight and discuss the implications of the car's trajectory over a bump. Questions arise regarding the assumptions made about the car's size and the conditions under which the vehicle may become airborne.

Discussion Status

There is ongoing dialogue about the relationship between normal force and apparent weight, with some participants agreeing on certain points while others raise concerns about the assumptions in the problem setup. Multiple interpretations of the conditions for maintaining contact with the surface are being explored.

Contextual Notes

Participants note the lack of specific information regarding the angle of the bump and the potential for the vehicle to become airborne, which influences the calculations and assumptions being discussed.

Mohmmad Maaitah
Messages
90
Reaction score
20
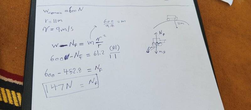
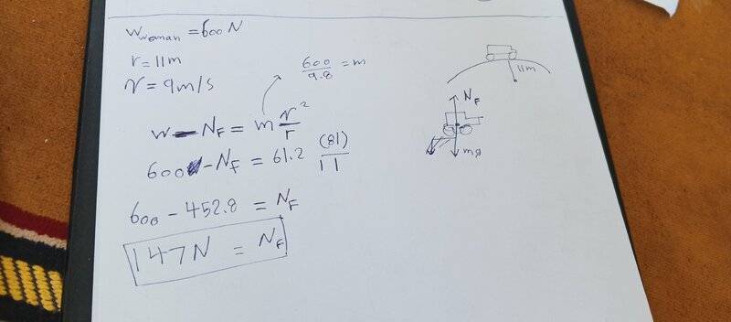
Homework Statement
A car traveling on a straight road at 9.0 m/s goes over a hump in the road. The hump may be regarded as an arc of a circle of radius 11.0 m. (a) What is the appar- ent weight of a 600-N woman in the car as she rides over the hump? (b) What must be the speed of the car over the hump if she is to experience weightlessness? (The apparent weight must be zero.)
--------------------
How to calculate Apparent weight and did i analysis is it right?
Would the woman fell less weight on the top of the hump?
Relevant Equations
I used for (a) W-N=(m)(v^2)/r
IMG_20230427_111511_746.jpg
IMG_20230427_111523_819.jpg
r
 
Physics news on Phys.org
Is the normal force the apparent weight?
So i just calculate it or am i mistaking
 
Hi, can you post your work? I only see unexplained screen shots with numbers popping up out of the blue....
 
  • Like
Likes   Reactions: MatinSAR and Mohmmad Maaitah
(I think you may be doing ok, but the woman will be very angry at being taken for a car:smile:)

Also, there is an underlying assumption about the size of the car...

##\ ##
 
Mohmmad Maaitah said:
Is the normal force the apparent weight?
Yes, and I agree with your answers.
There is one flaw with the question, though. If the top of the hill is like an arc of a circle then the vehicle is more likely to become airborne before it reaches the peak than when at the peak.
 
16825858200723557969515154665585.jpg
 
BvU said:
(I think you may be doing ok, but the woman will be very angry at being taken for a car:smile:)

Also, there is an underlying assumption about the size of the car...

##\ ##
Do you mean i have a mistake in masses?
 
haruspex said:
Yes, and I agree with your answers.
There is one flaw with the question, though. If the top of the hill is like an arc of a circle then the vehicle is more likely to become airborne before it reaches the peak than when at the peak.
So the apparent weight = Normal force?
In this problem i mean
 
Mohmmad Maaitah said:
That's odd… your first answer of 150N was closer.
You should keep more intermediate significant figures than you present as answer, e.g. 61.22, not 61.2.
 
  • Like
Likes   Reactions: Mohmmad Maaitah
  • #10
haruspex said:
Yes, and I agree with your answers.
There is one flaw with the question, though. If the top of the hill is like an arc of a circle then the vehicle is more likely to become airborne before it reaches the peak than when at the peak.
The condition for staying on the surface is ##v^2\leq gR\sin\!\theta## where ##\theta## is measured relative to the horizontal. For the given speed of 9.0 m/s, the surface of the bump must rise at initial angle ##\varphi \geq \arcsin (\frac{v^2}{gR}) = 48.7^{\circ}## with the horizontal. At that angle, the (point) car traveling at 9.0 m/s will just barely keep contact with the surface. So if the 9.0 m/s speed is maintained until the car reaches the top, the car will not become airborne. The problem does not give the angle subtended by the arc, so we have to assume that it will be OK.
 
  • #11
kuruman said:
The condition for staying on the surface is ##v^2\leq gR\sin\!\theta## where ##\theta## is measured relative to the horizontal. For the given speed of 9.0 m/s, the surface of the bump must rise at initial angle ##\varphi \geq \arcsin (\frac{v^2}{gR}) = 48.7^{\circ}## with the horizontal. At that angle, the (point) car traveling at 9.0 m/s will just barely keep contact with the surface. So if the 9.0 m/s speed is maintained until the car reaches the top, the car will not become airborne. The problem does not give the angle subtended by the arc, so we have to assume that it will be OK.
That works for (a), but, as I should have clarified, my objection is to part (b). For any ##\phi>0##, the required speed will be correspondingly less than the given answer.
(And did you mean initial angle ##\varphi \leq \arcsin (\frac{v^2}{gR}) ## with the horizontal?)
 
  • #12
haruspex said:
(And did you mean initial angle ##\varphi \leq \arcsin (\frac{v^2}{gR}) ## with the horizontal?)
Yes I did. I gave a different name to the complementary angle of ##\theta## but forgot to flip the inequality. Thanks.
 

Similar threads

Replies
6
Views
3K
  • · Replies 9 ·
Replies
9
Views
2K
  • · Replies 4 ·
Replies
4
Views
3K
Replies
3
Views
1K
  • · Replies 11 ·
Replies
11
Views
7K
  • · Replies 13 ·
Replies
13
Views
4K
Replies
5
Views
3K
  • · Replies 3 ·
Replies
3
Views
3K
  • · Replies 37 ·
2
Replies
37
Views
4K
  • · Replies 10 ·
Replies
10
Views
5K