How to Prove an Inverse Function Using Equating Square Roots?

Click For Summary

Discussion Overview

The discussion revolves around proving that a function is one-to-one in order to establish the existence of its inverse. Participants explore various methods for demonstrating this property, including the use of square roots and graphical representations. The conversation includes definitions and clarifications related to one-to-one functions.

Discussion Character

  • Exploratory
  • Technical explanation
  • Conceptual clarification
  • Debate/contested

Main Points Raised

  • Some participants inquire about the basis for equating two square roots in the context of proving a function is one-to-one.
  • Others suggest alternative methods for demonstrating that the function is one-to-one, including graphical analysis.
  • Definitions of a one-to-one function are discussed, with emphasis on the relationship between inputs and outputs.
  • There is a challenge regarding the logic of proving that equal outputs imply equal inputs, with some participants questioning the phrasing of this logic.
  • One participant asserts that the proof involves showing that if the outputs are the same, then the inputs must also be the same, while another participant expresses confusion about this reasoning.
  • Some participants note that the assumptions underlying the statements about one-to-one functions are not proven but are taken as given.

Areas of Agreement / Disagreement

Participants express differing views on the logic and phrasing of the proof for one-to-one functions. There is no consensus on the best approach to demonstrate the property or the clarity of the underlying assumptions.

Contextual Notes

Some statements made by participants rely on assumptions that are not explicitly proven, and there is a lack of clarity regarding the logical structure of the arguments presented.

#neutrino
Messages
51
Reaction score
2
if
upload_2016-1-15_8-59-51.png
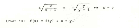
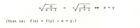
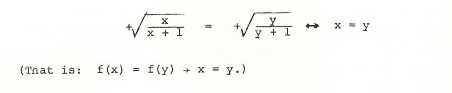
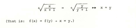
then to prove an inverse of this exists the following has been done to show that it is one to one

upload_2016-1-15_8-59-8.png


what is the basis of equating the 2 square roots ?
 
Mathematics news on Phys.org
Can you think of another way to show it is 1-1?
 
#neutrino said:
if
View attachment 94299 then to prove an inverse of this exists the following has been done to show that it is one to one

View attachment 94298

what is the basis of equating the 2 square roots ?
What is the definition of a function being one-to-one?
 
Mark44 said:
What is the definition of a function being one-to-one?
an output can have only one input ,but what i don't understand is the basis of the expression
upload_2016-1-15_15-42-34.png
 
Simon Bridge said:
Can you think of another way to show it is 1-1?
yes i can reach the conclusion if we draw a graph but I'm confused about how to arrive at the conclusion (one to one ) using this data
 
#neutrino said:
yes i can reach the conclusion if we draw a graph but I'm confused about how to arrive at the conclusion (one to one ) using this data
If you graph it, can you think of a specific feature of the graph that you could phrase mathematically?
 
#neutrino said:
an output can have only one input ,but what i don't understand is the basis of the expressionView attachment 94307
That is exactly what you said above: "an output can have only one input". If x and y are the "inputs" for the "outputs", f(x) and f(y), and they are the same, f(x)= f(y), so they are the same output, the inputs must be the same: x= y. Showing that "if f(x)= f(y) then x= y" is exactly the same as showing "an output can have only one input".
 
#neutrino said:
an output can have only one input ,but what i don't understand is the basis of the expressionView attachment 94307
It is the "If" part of an "if-then" statement. It is not proven, it is assumed. So there is no need for a "basis" for the statement.
If (x/(x+1))0.5 = (y/(y+1))0.5
then x=y.

This is all that you need to prove to show that the function has an inverse.
 
HallsofIvy said:
That is exactly what you said above: "an output can have only one input". If x and y are the "inputs" for the "outputs", f(x) and f(y), and they are the same, f(x)= f(y), so they are the same output, the inputs must be the same: x= y. Showing that "if f(x)= f(y) then x= y" is exactly the same as showing "an output can have only one input".
FactChecker said:
It is the "If" part of an "if-then" statement. It is not proven, it is assumed. So there is no need for a "basis" for the statement.
If (x/(x+1))0.5 = (y/(y+1))0.5
then x=y.

This is all that you need to prove to show that the function has an inverse.

so why have you proved an input equals an input ? when what we should prove is that for two particular inputs the OUTPUT will be the same only if those two inputs are equal.
 
Last edited by a moderator:
  • #10
That is how you prove it. Prove that if the result of the function is the same, then the inputs were the same. That what "or two particular inputs the OUTPUT will be the same only if those two inputs are equal." means. So your question is more about how to phrase the logic rather than about function inverses. This might be a good, simple example of using truth tables to see that the logic is correct.
 

Similar threads

  • · Replies 15 ·
Replies
15
Views
3K
  • · Replies 4 ·
Replies
4
Views
4K
  • · Replies 13 ·
Replies
13
Views
3K
  • · Replies 4 ·
Replies
4
Views
1K
  • · Replies 1 ·
Replies
1
Views
2K
  • · Replies 11 ·
Replies
11
Views
3K
Replies
2
Views
2K
  • · Replies 1 ·
Replies
1
Views
2K
  • · Replies 19 ·
Replies
19
Views
7K
  • · Replies 12 ·
Replies
12
Views
2K