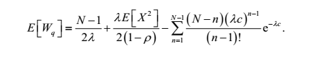
I want c++ program for given equations

  • Context: C/C++ 
  • Thread starter Thread starter Anantharaman
  • Start date Start date
  • Tags Tags
    C++ Program
Click For Summary
SUMMARY

The discussion focuses on creating a C++ program to solve specific mathematical equations. Participants emphasize the need for clarity regarding the variables involved and suggest using C++ math libraries for efficient calculations. Key techniques mentioned include utilizing for loops for summation and calculating factorials in the denominator. The conversation highlights the importance of providing detailed information to facilitate effective programming solutions.

PREREQUISITES
  • Basic understanding of C++ programming
  • Familiarity with mathematical concepts such as summation and factorial
  • Knowledge of C++ math libraries
  • Experience with variable declaration and manipulation in C++
NEXT STEPS
  • Research C++ math libraries for statistical calculations
  • Learn about implementing for loops in C++ for iterative calculations
  • Study techniques for calculating factorials in C++
  • Explore best practices for variable management in C++ programming
USEFUL FOR

C++ developers, mathematicians, and anyone interested in programming mathematical equations efficiently in C++.

Anantharaman
Messages
2
Reaction score
0

Attachments

  • ramya5.png
    ramya5.png
    2.8 KB · Views: 144
Technology news on Phys.org
What have you tried so far? Do you have any experience with c++?

I think you might need to provide more information about the variables involved, and where they are coming from.

I was looking around at some math libraries for c++ and seems there are some viable options for the expected value calculation.

The summation could be achieved with a simple for loop, likewise for the factorial on the denominator.
 

Similar threads

Replies
86
Views
4K
Replies
69
Views
11K
  • · Replies 17 ·
Replies
17
Views
2K
Replies
4
Views
3K
  • · Replies 8 ·
Replies
8
Views
3K
  • · Replies 2 ·
Replies
2
Views
2K
  • · Replies 4 ·
Replies
4
Views
1K
Replies
14
Views
4K
  • · Replies 25 ·
Replies
25
Views
2K
Replies
81
Views
8K