If we define the electron as an antiparticle, will there be a problem?

Click For Summary

Discussion Overview

The discussion revolves around the implications of redefining the electron and neutrino as antiparticles in the context of the particle-antiparticle asymmetry problem. Participants explore theoretical consequences, mathematical formulations, and the broader implications for baryon and lepton asymmetries.

Discussion Character

  • Debate/contested
  • Exploratory
  • Technical explanation

Main Points Raised

  • Some participants propose that redefining the electron and neutrino as antiparticles could potentially solve the particle-antiparticle asymmetry problem.
  • Others argue that such a redefinition would lead to contradictions, particularly regarding the annihilation of particles and the established behavior of electrons and positrons.
  • A participant notes that while the terminology of "matter" and "antimatter" is arbitrary, the mathematical structure of the theory is not, and the asymmetry remains real regardless of the labels used.
  • Some contributions highlight that redefining leptons does not address the underlying baryon asymmetry and may complicate the situation further, particularly in relation to sphaleron processes in the early universe.
  • There is a suggestion that redefining particles could disrupt conservation laws, leading to further complications in understanding baryon and lepton numbers.
  • One participant humorously suggests that redefining neutrons as multiple antiparticles would lead to even greater issues.
  • Another participant draws an analogy about color redefinitions to illustrate that changing definitions does not alter the underlying asymmetry.

Areas of Agreement / Disagreement

Participants express multiple competing views on the implications of redefining particles. There is no consensus on whether such a redefinition would resolve the asymmetry problem or create further complications.

Contextual Notes

Participants highlight that the discussion is heavily dependent on the definitions and mathematical structures used in particle physics. The implications of redefining particles are not straightforward and involve complex interactions and conservation laws.

darkdark10
Messages
6
Reaction score
0
Now we have a particle-antiparticle asymmetry problem.

But, if we define electron and neutrino as antiparticle, will there be a problem?

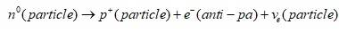
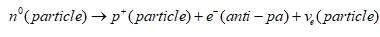
Original formula
1-n^0.jpg


Modified formula

2-n^0.jpg



Original formula
1-p^+.jpg


Modified formula
2-p^+.jpg


If the classification of electron and neutrino is changed to antiparticles, the particle-antiparticle asymmetry problem can be solved.
Is there any reason why this should not be done?
 
Physics news on Phys.org
darkdark10 said:
Now we have a particle-antiparticle asymmetry problem.

But, if we define electron and neutrino as antiparticle, will there be a problem?

Original formula
View attachment 350898

Modified formula

View attachment 350899


Original formula
View attachment 350900

Modified formula
View attachment 350901

If the classification of electron and neutrino is changed to antiparticles, the particle-antiparticle asymmetry problem can be solved.
Is there any reason why this should not be done?
While what we call particles and what we call antiparticles is arbitrary, the terms have to be used in either the way that we do now, or exactly the opposite way.

Under this proposal e+ and e- would both be particles and couldn't annihilate. This is known to be contrary to what happens when we collide e+ and e-.

Therefore, this proposal is wrong.
 
  • Skeptical
Likes   Reactions: Vanadium 50 and mfb
ohwilleke said:
Under this proposal e+ and e- would both be particles and couldn't annihilate
No, he wants to switch both. Positron is a particle and electron an antiparticle.

There is no a priori problem writing the standard model lagrangian with the CP conjugate of the lepton fields instead of the fields themselves.

The real question though is why the OP thinks this would solve the matter-antimatter asymmetry?
 
  • Like
Likes   Reactions: Vanadium 50
It removes matter particles and adds antimatter particles, getting the difference closer to zero with that definition. You still need a process that converts leptons to baryons and does that asymmetric for matter and antimatter, leaving matter baryons and antimatter leptons with the changed definition. Ultimately it's still the same problem, just phrased differently. But we know baryons can be converted to (standard definition) antileptons and antibaryons can be converted to leptons, so flipping the definition of the leptons has some motivation. Won't happen because the current definition is well-established, however.
 
A sad feature of PF is that there are some people who are very prolific, but don't know what they are talking about, Unfortunately, they can spout nonsense faster than it can be corrected.

It is true that whether we use the words "matter" or "antimatter" is arbitrary - we could call in "snersh" and "glorbitross" if we wanted to. There is no information there. But in the mathematical structure of the theory you have u's, v's, ubars and vbars, and these are not arbitrary. The asymmetry is entirely real, no matter which words we use to describe it.
 
  • Like
Likes   Reactions: dextercioby
mfb said:
It removes matter particles and adds antimatter particles, getting the difference closer to zero with that definition.
The point of what is many times called matter-antimatter asymmetry in popular sources is not really that. It is a baryon asymmetry. This does not change at all redefining the electron as an antiparticle.

If you consider all particles and antiparticles, it actually makes things worse, not better. Sphalerons in the early Universe violate B+L while conserving B-L. For sphaleron equilibrium, B and L will have opposite sign, meaning that if you switch what is lepton and antilepton, they will have the same sign and B+L will be conserved. You would end up with a B+L that is larger than the B+L we have within the current definition.

In a charge neutral universe, there are essentially as many electrons as protons. But neither of these are the only contributions to B or L, respectively. This essentially means the negative L number has to be largely hidden away in the neutrino sector.
 
  • Like
Likes   Reactions: Vanadium 50
Orodruin said:
It is a baryon asymmetry. This does not change at all redefining the electron as an antiparticle.
But it does if you redefine neutrons as 10 antiparticles! :wink:
 
Vanadium 50 said:
But it does if you redefine neutrons as 10 antiparticles! :wink:
Then you destroy the relevant conservation laws … not just change them … 🤔
 
Orodruin said:
In a charge neutral universe, there are essentially as many electrons as protons. But neither of these are the only contributions to B or L, respectively. This essentially means the negative L number has to be largely hidden away in the neutrino sector.
What large negative number? After BBN we are left with n protons, n electrons, n/7 neutrons, and neutrinos.

Currently all the protons, electrons and neutrons are counted as matter. The sphaleron process can produce matter both in the baryon and lepton sector by producing baryons and removing antileptons, or producing leptons and removing antibaryons.

Swapping leptons, the protons and electrons cancel each other and we are only left with neutrons and neutrinos for net matter. The sphaleron process cannot produce net matter any more because it conserves B+L' with the new lepton definition. It can still produce a baryon and lepton asymmetry. That one doesn't change of course.

I'm not OP, but the conversion process between baryons and antileptons is one argument to invert the definition.
 
  • #10
Orodruin said:
No, he wants to switch both. Positron is a particle and electron an antiparticle.
I must have misread his post. Never mind.
 
  • #11
It seems to me that if you have much more green pencils than red ones, this situation (asymmetry) will be preserved if you decide to redefine the color green as red and red as green.
 

Similar threads

  • · Replies 5 ·
Replies
5
Views
2K
  • · Replies 87 ·
3
Replies
87
Views
22K
Replies
6
Views
2K
  • · Replies 5 ·
Replies
5
Views
2K
  • · Replies 9 ·
Replies
9
Views
5K
  • · Replies 4 ·
Replies
4
Views
2K
  • · Replies 3 ·
Replies
3
Views
2K
  • · Replies 2 ·
Replies
2
Views
4K
  • · Replies 4 ·
Replies
4
Views
5K
  • · Replies 4 ·
Replies
4
Views
3K