Integral total and partial of a function?

Click For Summary

Discussion Overview

The discussion revolves around the concept of a "total integral" of a function, drawing parallels to the total differential in calculus. Participants explore the mathematical validity of this idea, questioning the steps involved and the implications of such integrals in multiple dimensions.

Discussion Character

  • Exploratory, Technical explanation, Debate/contested, Mathematical reasoning

Main Points Raised

  • One participant proposes a method for defining a "total integral" of a function, suggesting that it could be expressed similarly to the total differential.
  • Another participant questions the validity of dividing by dx in the proposed steps, indicating that such manipulation is not mathematically sound.
  • There is a discussion about the meaning of d²x and its relation to differentials, with some participants asserting that it does not represent a valid mathematical concept.
  • A participant suggests that the analogy between differentiation and integration may not hold, as they are not strictly inverse operations.
  • One participant expresses confusion about the transformation of a function from one variable to another (from x to u) in the context of the proposed integrals.
  • Another participant encourages testing the proposed integral with a specific function to evaluate its practical relevance.

Areas of Agreement / Disagreement

Participants express differing views on the validity of the proposed "total integral" concept, with some supporting the exploration of the idea while others challenge the mathematical steps and reasoning involved. The discussion remains unresolved regarding the feasibility and definition of total and partial integrals.

Contextual Notes

Participants highlight limitations in the proposed steps, particularly regarding the manipulation of differentials and the transformation of functions. The discussion also reflects uncertainty about the relationship between differentiation and integration.

Jhenrique
Messages
676
Reaction score
4
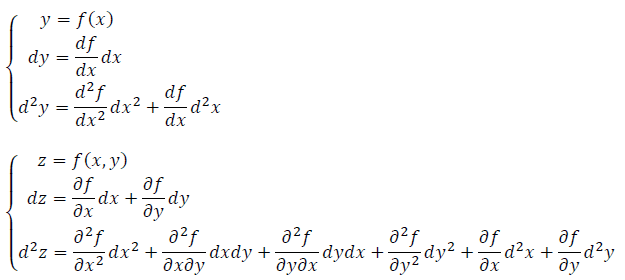
Like we have the total differential of a function:
imagem.png


I was thinking, why not take the "total integral" of a function too? Thus I did some algebraic juggling and, how I haven't aptitude for be a Ph.D. in math, I bring my ideia for the experients from here evaluate... Anyway, the ideia is the follows:

Let y = f(x), so: [tex]\int y dx = \int f dx[/tex] [tex]\int y \frac{dx}{dx} = \int f \frac{1}{dx}dx[/tex] [tex]\int y = \int f \frac{1}{dx}dx \;\;\;\Rightarrow \;\;\; \int y du = \int f \frac{du}{dx}dx[/tex] Generalizing...

Let w = f(x,y,z), so: [tex]\int w = \int f \frac{1}{dx}dx + \int f \frac{1}{dy}dy + \int f \frac{1}{dz}dz[/tex]

I don't venture take the 2nd integral of y because I think that will arise one d²x in the denominator...

What you think about? All this make sense?
 
Physics news on Phys.org
Jhenrique said:
Like we have the total differential of a function:
imagem.png
Presumably dx2 means dx * dx, but what does d2x mean?
Jhenrique said:
I was thinking, why not take the "total integral" of a function too? Thus I did some algebraic juggling and, how I haven't aptitude for be a Ph.D. in math, I bring my ideia for the experients from here evaluate... Anyway, the ideia is the follows:

Let y = f(x), so: [tex]\int y dx = \int f dx[/tex] [tex]\int y \frac{dx}{dx} = \int f \frac{1}{dx}dx[/tex] [tex]\int y = \int f \frac{1}{dx}dx \;\;\;\Rightarrow \;\;\; \int y du = \int f \frac{du}{dx}dx[/tex] Generalizing...
The steps in the middle make no sense to me. Dividing by dx is not a valid step. You started with f as a function of x. Is it somehow transformed to become a function of u later on?
Jhenrique said:
Let w = f(x,y,z), so: [tex]\int w = \int f \frac{1}{dx}dx + \int f \frac{1}{dy}dy + \int f \frac{1}{dz}dz[/tex]

I don't venture take the 2nd integral of y because I think that will arise one d²x in the denominator...

What you think about? All this make sense?
 
Mark44 said:
Presumably dx2 means dx * dx, but what does d2x mean?The steps in the middle make no sense to me.

Yeah, dx²=dxdx

d²x is the 2nd differential of x wrt nothing. Wrt to something it's become: [tex]\frac{d^2y}{du^2}=\frac{d^2f}{dx^2}\left ( \frac{dx}{du} \right )^2+\frac{df}{dx}\frac{d^2x}{du^2}[/tex]

Dividing by dx is not a valid step.
humm...

You started with f as a function of x. Is it somehow transformed to become a function of u later on?
The first three equations was a attempt for show what would an integral of f (like an differential of f) and the implication shows the utility of the integral of f as an chain rule.

If you get the last equation, ∫w, and multiply the equation by an arbitrary differential du, you'll have an chain rule of integrals in tree-dimensions:
[tex]\int w du= \int f \frac{du}{dx}dx + \int f \frac{du}{dy}dy + \int f \frac{du}{dz}dz[/tex]
 
So d2x would be d(dx). AFAIK, this doesn't mean anything. At least it's not anything I've ever seen. Also, as I mentioned earlier, you can't divide by dx, and you can't divide by d2x. The "fractions" dy/dx and d2y/dx2 are more notation than fractions that you can manipulate.

Instead of merely manipulating symbols, as you seem to like to do, make up a function w = f(x, y, z), and see if your formula for ##\int wdu## has any relation to reality.
 
hummm... so, tell me you, why no exist total and partial integral like in differentiation, that has partial and total differential. Why my analogy no make sense?
 
Jhenrique said:
hummm... so, tell me you, why no exist total and partial integral like in differentiation, that has partial and total differential. Why my analogy no make sense?
Just off the top of my head, possibly it's because differentiation and integration aren't exactly inverse operations.
 

Similar threads

  • · Replies 11 ·
Replies
11
Views
3K
  • · Replies 4 ·
Replies
4
Views
3K
  • · Replies 1 ·
Replies
1
Views
3K
  • · Replies 4 ·
Replies
4
Views
3K
  • · Replies 2 ·
Replies
2
Views
3K
  • · Replies 3 ·
Replies
3
Views
3K
  • · Replies 3 ·
Replies
3
Views
3K
  • · Replies 6 ·
Replies
6
Views
3K
  • · Replies 6 ·
Replies
6
Views
2K
  • · Replies 1 ·
Replies
1
Views
1K