Ionization percentage in the Saha equation

  • Thread starter Thread starter tanaygupta2000
  • Start date Start date
  • Tags Tags
    Ionization
Click For Summary

Homework Help Overview

The discussion revolves around calculating the ionization percentage using the Saha equation, particularly focusing on the ratio of ionized to neutral particle densities.

Discussion Character

  • Exploratory, Assumption checking

Approaches and Questions Raised

  • Participants are attempting to calculate the ratio n2/n1 and are questioning how to derive the ionization percentage from this ratio. There is also confusion regarding the use of electron number density in relation to the density of the star.

Discussion Status

Some participants are actively working on formatting their equations for clarity, while others are seeking assistance in understanding the calculations and clarifying their assumptions about the parameters involved.

Contextual Notes

There are mentions of specific values and calculations, but the discussion highlights potential confusion regarding the definitions and relationships between different densities in the context of the Saha equation.

tanaygupta2000
Messages
208
Reaction score
14
Homework Statement
Find out the percentage of ionization in H2 gas at the centre of a star, given that the density of the star is 10^5 kg/m^3 and its temperature is 1.5 × 10^7 K.
(For H2, 2gi/ga = 1 & I = 13.6 eV).
Relevant Equations
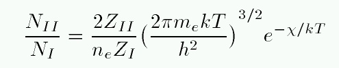
n2/n1 = 1/n (2πmkT/h^2)^(3/2) 2g2/g1 exp(-I/kT)
Plugging-in the above data, I am getting n2/n1 to be of the order of 10^25 !
I know that the percentage is out of 100.
 
Physics news on Phys.org
Trying to clean up your post with LaTeX...

<br /> <br /> n2/n1 = 1/n (2πmkT/h^2)^(3/2) 2g2/g1 exp(-I/kT) <br />
 
Still working on it...
 
Okay, I'm not able to fix up your equation in the standard LaTeX that we use here at the PF. Please add a reply with your math properly formatted so we can try to help you. Tutorial on LaTeX is at the top of the page under INFO/Help. Thank you.
 
berkeman said:
Okay, I'm not able to fix up your equation in the standard LaTeX that we use here at the PF. Please add a reply with your math properly formatted so we can try to help you. Tutorial on LaTeX is at the top of the page under INFO/Help. Thank you.
unnamed.gif
 
Sir I am getting NII/NI = 139.9688 × 1025
I have checked my calculation.
How do I find the 'percentage'?
 
I think I am getting confused by ne (number density of free electrons) with the density of the star.
I think I need to use ne = (Density of star)/(2mp) and not directly 105.
 

Similar threads

Replies
0
Views
1K
Replies
1
Views
2K
Replies
5
Views
2K
  • · Replies 3 ·
Replies
3
Views
2K
  • · Replies 11 ·
Replies
11
Views
2K
  • · Replies 7 ·
Replies
7
Views
2K
  • · Replies 2 ·
Replies
2
Views
2K
  • · Replies 13 ·
Replies
13
Views
2K
Replies
3
Views
969
  • · Replies 0 ·
Replies
0
Views
1K