Is Fermi-Dirac Probability Part B Solvable?

Click For Summary

Homework Help Overview

The discussion revolves around the Fermi-Dirac probability distribution in the context of semiconductor physics, specifically focusing on the probability distribution for holes and its relationship to electrons. Participants are examining part (b) of a homework problem following the completion of part (a).

Discussion Character

  • Exploratory, Conceptual clarification, Assumption checking

Approaches and Questions Raised

  • Participants discuss the rationale behind using the expression 1 - W(p) for holes instead of W(p) for electrons. There is exploration of the assumption that the number of electrons and holes are equal, leading to questions about the implications of this assumption on the calculations.

Discussion Status

Some participants have offered guidance on how to approach part (b) by suggesting the use of specific expressions and confirming the correctness of part (a). However, there are ongoing questions regarding the derivation of certain expressions and the implications of assumptions made about electron and hole pairs.

Contextual Notes

There are discussions about potential typos in derived expressions and the validity of assuming equal values for electrons and holes without further calculations. The context includes considerations of intrinsic semiconductors and the relationship between electron and hole generation.

falcon555
Messages
11
Reaction score
0
Hi dear friends
Please reffer to my work , I did part ( a )
Can someone help me to solve part( b )
Please
20160909_171333.jpg


20160909_171413.jpg
 
Physics news on Phys.org
(a) is correctly done.
(b):
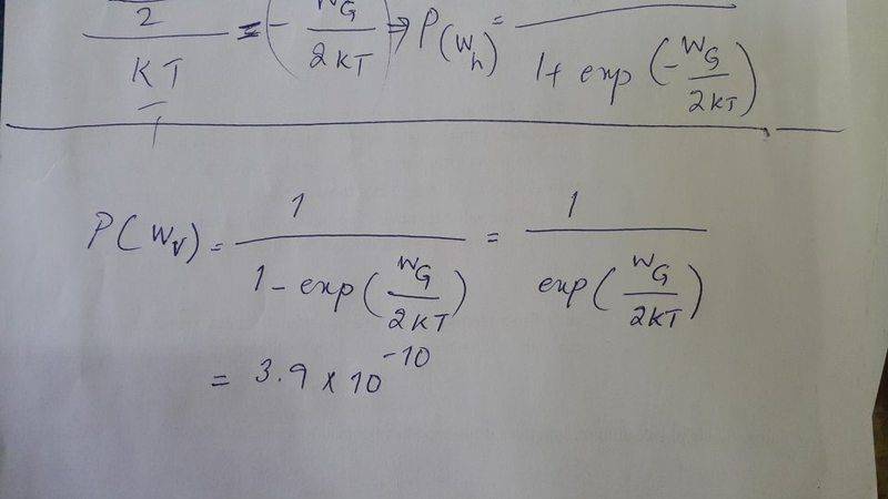
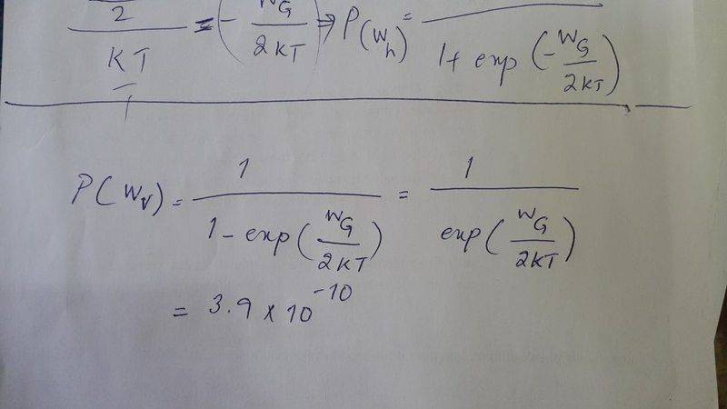
My textbook gives the probability distribution for holes as not W(p) as it is for electrons, but as 1 - W(p). Without a believable rationale, but I'm sure it's correct, because later on they use that expression for deriving the totality of free carriers for electrons and for holes and get roughly the same number for each, which has to be correct.

So, bottom line, if you use 1 - W(p) for the holes, and use Wv in lieu of Wc, and proceedig exactly as you did in part (a), you will get your answer. Do that and let us know what you come up with.
 
If we assume the number of electrons and the holes are the same ,then we suppose to get the same value

20160911_151058.jpg


Or you mean to say

1 - 3.99 × 10^(-10) = 2.99 × 10^(-10)
 
falcon555 said:
If we assume the number of electrons and the holes are the same ,then we suppose to get the same value
View attachment 105749
Right. The answer for (b) is the same as the answer for (a).

But you derived p(Wh) = {1 - exp(WG/kT)}-1 when it should be {1 + exp(WG/kT)}-1 which may be just a typo.
Or you mean to say
1 - 3.99 × 10^(-10) = 2.99 × 10^(-10)
I don't think anyone would say that! (Look at that statement more carefully! :smile:)
 
Ok
It means without any extra calculation we can asume that both the values are the same as a rule of thumb, right?
Because the holes and the electrons are generated in pairs, right?
 
falcon555 said:
Ok
It means without any extra calculation we can asume that both the values are the same as a rule of thumb, right?
Because the holes and the electrons are generated in pairs, right?
That's what I always suspected, but I decided to make sure by going with the formulas. I wasn't sure if an electron at the very bottom of the conduction band implied a hole at the very top of the valence band until I worked the formulas.

It's certainly true that, in an intrinsic (undoped) semiconductor like Si, a hole is created when and only when an electron is kicked up to the conduction band, and vice-versa.
 
  • Like
Likes   Reactions: falcon555
Thank you very much bro for helping me.
You are great.

Cheers
 
falcon555 said:
Thank you very much bro for helping me.
You are great.

Cheers
You're very welcome. Educational for me too!
P.S. is that your cat? Lovely boy!
 

Similar threads

  • · Replies 1 ·
Replies
1
Views
3K
  • · Replies 2 ·
Replies
2
Views
2K
  • · Replies 3 ·
Replies
3
Views
2K
  • · Replies 1 ·
Replies
1
Views
4K
Replies
1
Views
3K
  • · Replies 3 ·
Replies
3
Views
2K
Replies
1
Views
2K
  • · Replies 1 ·
Replies
1
Views
2K
Replies
1
Views
2K
  • · Replies 6 ·
Replies
6
Views
4K