Is my calculation for work done correct?

  • Thread starter Thread starter kaspis245
  • Start date Start date
  • Tags Tags
    Work
Click For Summary

Homework Help Overview

The discussion revolves around calculating the work done by a uniformly changing force acting on an object over a displacement of 12 meters, with initial and final force magnitudes provided.

Discussion Character

  • Exploratory, Assumption checking, Mathematical reasoning

Approaches and Questions Raised

  • Participants explore different methods for calculating work done, including using force-displacement equations, graphical methods, and averaging forces. Questions arise regarding the correctness of the initial calculation and the appropriateness of the methods used.

Discussion Status

Some participants have provided guidance on alternative approaches to the problem, suggesting that the original method may not be correct. There is an indication of progress as participants refine their understanding and explore various calculation methods.

Contextual Notes

There is a repeated emphasis on the need for clarity in the calculation methods and the understanding of uniformly changing forces. The original poster's assumptions and methods are questioned, leading to suggestions for further exploration.

kaspis245
Messages
189
Reaction score
1

Homework Statement


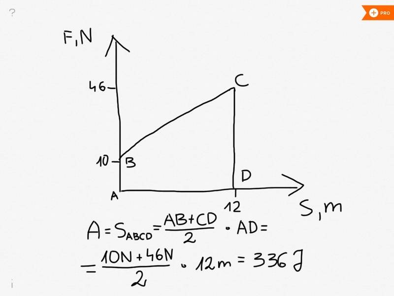
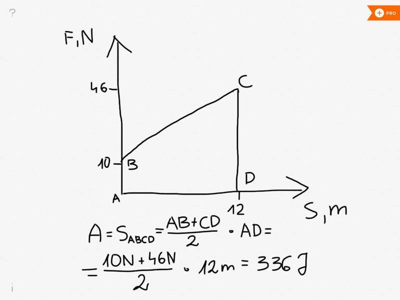
Force magnitude at the beginning of the road s = 12 m is F1 = 10 N , at the end of the road F2 = 46 N. The force is acting in object's displacement direction. Calculate work done by uniformly changing force.

Homework Equations


A = Fs

The Attempt at a Solution


A = Fs = (F2-F1)s = 432 J

Is it correct?
 
Last edited by a moderator:
Physics news on Phys.org
kaspis245 said:

Homework Statement


Force magnitude at the beginning of the road s = 12 m is F1 = 10 N , at the end of the road F2 = 46 N. The force is acting in object's displacement direction. Calculate work done by uniformly changing force.

Homework Equations


A = Fs

The Attempt at a Solution


A = Fs = (F2-F1)s = 432 J

Is it correct?
No.

You can write the force vs. displacement equation and do the calculus for the work done, or make a graph of the force-displacement and find the area under it, or , more easily since the force is uniformly changing with distance, try the average force approach when using your formula. Use all three methods if you want and compare results. Your approach is not correct.
 
What about now:

b4td1v.jpg
 
kaspis245 said:
What about now:
Looks Good!

b4td1v.jpg
 

Similar threads

  • · Replies 2 ·
Replies
2
Views
3K
Replies
6
Views
3K
  • · Replies 9 ·
Replies
9
Views
3K
  • · Replies 58 ·
2
Replies
58
Views
6K
Replies
6
Views
2K
Replies
17
Views
2K
  • · Replies 28 ·
Replies
28
Views
4K
  • · Replies 2 ·
Replies
2
Views
1K
  • · Replies 2 ·
Replies
2
Views
2K
  • · Replies 1 ·
Replies
1
Views
2K