Is There a Solution for 6 Degree of Freedom Solid Body Movement Equations?

  • Context: MHB 
  • Thread starter Thread starter Anton1
  • Start date Start date
Click For Summary

Discussion Overview

The discussion revolves around the equations governing 6 degrees of freedom for solid body movement, specifically focusing on the complexities of rotational dynamics around the x, y, and z axes. Participants explore potential solutions, mathematical approaches, and the challenges associated with these equations.

Discussion Character

  • Exploratory, Technical explanation, Debate/contested, Mathematical reasoning

Main Points Raised

  • One participant presents a system of equations related to 6 degrees of freedom and seeks assistance in solving them, expressing uncertainty due to a long absence from advanced mathematics.
  • Another participant shares a Mathematica command that purportedly solves the system but notes that the solution is complex and difficult to interpret.
  • A subsequent reply requests the solution, indicating that the participant has the exact values of the constants but doubts that this will simplify the solution.
  • Several participants mention limitations in accessing Mathematica, with one expressing frustration over the complexity of the solution, describing it as "fugly."
  • One participant concludes that the system does not appear to have an explicit solution, reflecting on the responses received.

Areas of Agreement / Disagreement

Participants generally agree on the complexity of the equations and the challenges in finding a clear solution. However, there is no consensus on whether an explicit solution exists, as some express doubt while others remain hopeful.

Contextual Notes

Limitations include the potential dependence on the specific values of constants and the unresolved nature of the mathematical steps involved in simplifying the equations.

Who May Find This Useful

Individuals interested in advanced dynamics, mathematical modeling, or those working with solid body movement in engineering contexts may find this discussion relevant.

Anton1
Messages
3
Reaction score
0
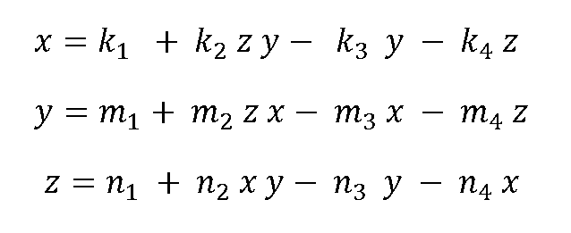
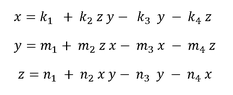
Hi, I ended up with the following 3 equations that relate to solving 6 degree of freedom solid body movement. The equations relate to rotations around the x, y and z axis (which is far more complicated than translations). Is there anybody that knows the solution or can figure it out (i am just an engineer and have not done proper maths for about 30 years!)?
Thanks
Anton

k, m and n are constants:


View attachment 5352
 

Attachments

  • Capture.PNG
    Capture.PNG
    2.1 KB · Views: 106
Physics news on Phys.org
The following Mathematica command solves the system, but the solution is horrendous:

Code:
Solve[{x==k1+k2 z y-k3 y-k4 z,y==m1 +m2 z x -m3 x-m4 z,z==n1+n2 x y-n3 y-n4 x},{x,y,z}]

Do you know the exact values of the constants? If so, I think the solution would be much simpler in form.
 
Thanks, that was so quick! Can you provide the solution please (I really don't mind if it is horrendous!:))?

I do know the exact values of the constants but I think it unlikely that this will simplify the form...

I attach the full background, I'm sure solutions must exists for this but after much searching I still have not found them.
 

Attachments

  • 01.png
    01.png
    20.5 KB · Views: 99
  • 02.png
    02.png
    9.1 KB · Views: 108
  • 03.PNG
    03.PNG
    11.3 KB · Views: 94
Unfortunately, I don't have a full copy of Mathematica at the moment. The best I can do is the Wolfram Development Platform, which is not giving me enough server time to display the entire thing. Stay tuned. I may be able to get a full copy of Mathematica through my research connection.
 
Ackbach said:
Unfortunately, I don't have a full copy of Mathematica at the moment. The best I can do is the Wolfram Development Platform, which is not giving me enough server time to display the entire thing. Stay tuned. I may be able to get a full copy of Mathematica through my research connection.
I have a full copy of Mathematica. It doesn't help, the system is fugly.

-Dan
 
topsquark said:
I have a full copy of Mathematica. It doesn't help, the system is fugly.

-Dan

Thanks guys, even though it may not be the result I was hoping for at least now I know that apparently it does not have an explicit solution. Appreciate the answers.
 

Similar threads

  • · Replies 23 ·
Replies
23
Views
7K
Replies
1
Views
2K
  • · Replies 2 ·
Replies
2
Views
3K
  • · Replies 9 ·
Replies
9
Views
12K
  • · Replies 7 ·
Replies
7
Views
2K
  • · Replies 1 ·
Replies
1
Views
2K
Replies
2
Views
2K
  • · Replies 6 ·
Replies
6
Views
3K
  • · Replies 6 ·
Replies
6
Views
9K
Replies
2
Views
5K