Is There Symmetry in the Signs of Newton's Identities?

  • Context: Graduate 
  • Thread starter Thread starter Jhenrique
  • Start date Start date
  • Tags Tags
    identities
Click For Summary
SUMMARY

The discussion centers on the symmetry in the signs of Newton's identities, specifically examining the equations for p_1, p_2, and p_3. The correct formulation is established as p_1 = 1h_1 and p_2 = 2h_2 - h_1p_1. The proposed alternative equations, p_2 = 2h_2 + h_1p_1 and p_3 = 3h_3 + h_2p_1 + h_1p_2, are definitively incorrect due to arbitrary sign changes. The discussion emphasizes the importance of maintaining the integrity of the original equations.

PREREQUISITES
  • Understanding of Newton's identities
  • Familiarity with polynomial symmetric functions
  • Basic algebraic manipulation skills
  • Knowledge of variable isolation techniques
NEXT STEPS
  • Study the derivation of Newton's identities in detail
  • Explore polynomial symmetric functions and their applications
  • Learn about algebraic manipulation and its importance in mathematical proofs
  • Investigate the implications of sign changes in mathematical equations
USEFUL FOR

Mathematicians, students studying algebra and polynomial functions, and anyone interested in the properties of symmetric functions and identities.

Jhenrique
Messages
676
Reaction score
4
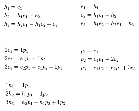
Look this relationship:

7a818659d257a5542f5121bd88429784.png


http://en.wikipedia.org/wiki/Newton's_identities#Related_identities

If I isolate the variable p, I'll have:

##p_1 = 1h_1##
##p_2 = 2h_2-h_1p_1##
##p_3 = 3h_3-h_2p_1-h_1p_2##

So, my question is: BTW, would be true that:

##p_1 = 1h_1##
##p_2 = 2h_2+h_1p_1##
##p_3 = 3h_3+h_2p_1+h_1p_2##

?

EDIT: I'm asking because with base in other formulas seems that there is some symmetry between the signals...
imagem.png
 
Last edited:
Physics news on Phys.org
Jhenrique said:
If I isolate the variable p, I'll have:

##p_1 = 1h_1##
##p_2 = 2h_2-h_1p_1##
##p_3 = 3h_3-h_2p_1-h_1p_2##

So, my question is: BTW, would be true that:

##p_1 = 1h_1##
##p_2 = 2h_2+h_1p_1##
##p_3 = 3h_3+h_2p_1+h_1p_2##
No.
The first equation just above is correct, but the next two aren't. You can' t just change the sign arbitrarily.
If ##p_2 = 2h_2-h_1p_1##, you can replace ##p_1## by ##h_1## to get
##p_2 = 2h_2 - h_1^2##
 

Similar threads

  • · Replies 12 ·
Replies
12
Views
11K
  • · Replies 13 ·
Replies
13
Views
4K
  • · Replies 1 ·
Replies
1
Views
3K
  • · Replies 1 ·
Replies
1
Views
4K