Label propagation equation: what are the terms?

  • Context: Undergrad 
  • Thread starter Thread starter Master1022
  • Start date Start date
  • Tags Tags
    Propagation Terms
Click For Summary

Discussion Overview

The discussion revolves around the interpretation of terms in the label propagation equation, specifically equation (2.15) from a referenced paper. Participants are exploring whether certain variables are vectors or scalars, focusing on the definitions and implications of these terms within the context of the equation.

Discussion Character

  • Exploratory
  • Technical explanation
  • Debate/contested

Main Points Raised

  • One participant proposes that ##f## is a vector, ##S## is a matrix, and ##\alpha## is a scalar, while expressing uncertainty about whether ##y## is a vector or a scalar.
  • The same participant speculates that ##\nu## may refer to a specific node, suggesting that ##f(\nu)## could represent the value of the vector ##f## at that node.
  • Another participant asserts that ##f## and ##y## are functions of ##v##, where ##v## designates a vertex, and that ##y## cannot be a scalar, as this would lead to a mathematical inconsistency in equation (2.15).
  • A later reply reiterates that ##f## and ##y## can be expressed as vectors over a set of vertices, and ##S## as a matrix, emphasizing that ##y## must be a vector to maintain the integrity of the equation.
  • There is a question regarding whether ##f(\nu)## should be considered a vector or merely an entry corresponding to the vertex ##\nu##, indicating a need for clarification on this point.

Areas of Agreement / Disagreement

Participants express differing views on the nature of ##y##, with some arguing it must be a vector while others consider the possibility of it being a scalar. The discussion remains unresolved regarding the exact nature of ##f(\nu)## and its interpretation.

Contextual Notes

Participants acknowledge the complexity of the definitions and relationships between the terms, indicating that assumptions about the nature of the variables may depend on the specific context of the equation.

Master1022
Messages
590
Reaction score
116
TL;DR
What terms in the equation (from the linked paper) are vectors or scalars?
Hi,

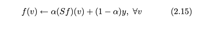
This is a simple question that I just wanted to clarify. I was reading the following paper on label propagation: HERE and I can't understand whether the terms are vectors or scalars in one of the equations - specifically, equation (2.15) shown in the image below.
Screen Shot 2022-05-03 at 11.02.57 AM.png


My understanding:
- ##f## is a vector
- ## S ## is a matrix
- ## \alpha ## is a scalar
- I am not too sure about ##y##: could be a vector or a scalar.
- ##\nu##: I am not too sure, but I think it could be referring to a specific node? That is, ## f(\nu) ## could be the value of the vector ## f## at node ## \nu ##.
- ## y ##: I am not sure, but I think it is a vector (see reasoning below).

Case is ## y ## is a scalar:
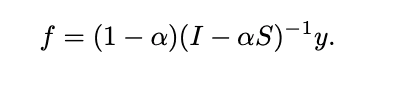
- That would make sense mathematically, but does that mean that we are using the same scalar ## y ## the equation for all nodes. That is, it doesn't matter what node ## \nu ## we are considering, we will always have the same ## y ## scalar in the equation? However, there is another equation above (shown below) which uses y as follows. This suggests that ##y## is a vector because then we have matrix-vector multiplication:

Screen Shot 2022-05-03 at 11.03.14 AM.png

Case if ## y ## is a vector:
- It could be a vector (as suggested by image above), but then we are adding a vector ## (1 - \alpha) y ## to a scalar ## \alpha S f ## is a vector, and we are extracted the value at a certain node ## \nu ##, so it is a scalar. Therefore, it seems unlikely that ## y ## is a vector unless my interpretation of ## \nu ## is incorrect.Apologies if this is sparse with information. I didn't want to rewrite the paper in this post and I am unsure of some of the definitions of variables in there. Any help would be greatly appreciated.
 
Physics news on Phys.org
##f## and ##y## are functions of ##v##, where ##v## designates a vertex, ##S## an operator, ##\alpha## a positive scalar.

For a given set of vertices ##V##, it is possible to write ##f## and ##y## as a vector over the set of vertices, and ##S## as a matrix.

Note that ##y## can't be a scalar otherwise eq. (2.15) would represent the sum of disparate elements.
 
  • Like
Likes   Reactions: Master1022
DrClaude said:
##f## and ##y## are functions of ##v##, where ##v## designates a vertex, ##S## an operator, ##\alpha## a positive scalar.

For a given set of vertices ##V##, it is possible to write ##f## and ##y## as a vector over the set of vertices, and ##S## as a matrix.

Note that ##y## can't be a scalar otherwise eq. (2.15) would represent the sum of disparate elements.
Many thanks for the response!

So would ## f( \nu ) ## be a vector instead of just referring to the entry of vector ## f## corresponding to ## \nu ##?
 
Master1022 said:
So would ## f( \nu ) ## be a vector instead of just referring to the entry of vector ## f## corresponding to ## \nu ##?
I don't understand your question.

##f(v)## is a function, but if you have a discrete set ##V## of vertices ##v##, then ##f(v)## over ##V## can be written as a vector.
 

Similar threads

  • · Replies 17 ·
Replies
17
Views
3K
  • · Replies 19 ·
Replies
19
Views
3K
  • · Replies 7 ·
Replies
7
Views
1K
  • · Replies 3 ·
Replies
3
Views
2K
  • · Replies 0 ·
Replies
0
Views
3K
  • · Replies 2 ·
Replies
2
Views
3K
  • · Replies 1 ·
Replies
1
Views
1K
  • · Replies 62 ·
3
Replies
62
Views
7K
  • · Replies 0 ·
Replies
0
Views
2K
  • · Replies 9 ·
Replies
9
Views
1K