Laplace Transform (correct, or not?)

Click For Summary

Homework Help Overview

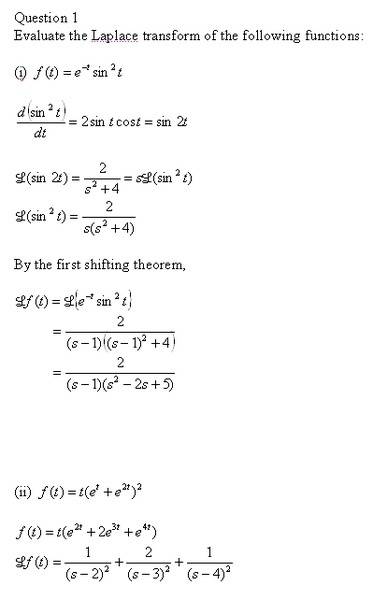
The discussion revolves around the verification of a Laplace transform solution. The original poster seeks assistance in confirming their work and is uncertain about the correctness of their answer.

Discussion Character

  • Exploratory, Assumption checking

Approaches and Questions Raised

  • Participants are discussing the verification of the original poster's work and the clarity of the provided image. There is a suggestion for alternative methods of sharing the problem details, such as using LaTeX.

Discussion Status

The discussion is ongoing, with participants attempting to access the original problem details. There is an indication that some members are willing to assist once the information is clearly presented.

Contextual Notes

There is a mention of a broken image link, which has affected the ability to review the original poster's work. The need for clear communication of the problem is emphasized.

noobish
Messages
11
Reaction score
0
I wish someone would help me to verify my answer and working. I don't have the answer for the question. :frown:

http://www.mrnerdy.com/forum_img/laplace.jpg


Is there a better working method?
 
Last edited by a moderator:
Physics news on Phys.org
My browser shows that your image is broken. Can you either post it as an attachment or type it up in LaTeX?
 
im sorry. I've fixed it. :)
 
Hello Tom,

the image shows up in my browser, so I'll attach it in this post.

Regards,

nazzard
 

Attachments

  • laplace.jpg
    laplace.jpg
    17.4 KB · Views: 517

Similar threads

  • · Replies 1 ·
Replies
1
Views
1K
  • · Replies 2 ·
Replies
2
Views
2K
  • · Replies 10 ·
Replies
10
Views
3K
  • · Replies 4 ·
Replies
4
Views
3K
Replies
2
Views
2K
  • · Replies 8 ·
Replies
8
Views
3K
  • · Replies 1 ·
Replies
1
Views
2K
  • · Replies 3 ·
Replies
3
Views
3K
  • · Replies 4 ·
Replies
4
Views
4K
  • · Replies 1 ·
Replies
1
Views
1K