Legendre polynomial - recurrence relations

Click For Summary
SUMMARY

The discussion focuses on the recurrence relations of Legendre polynomials, specifically the formula $P_{n+1}(x) = (2n+1)P_n(x) + P'_{n-1}(x)$. Participants emphasize the importance of mathematical induction in proving this relation, outlining the two necessary steps: establishing the base case for $n=1$ and demonstrating that if the relation holds for $n=m$, it must also hold for $n=m+1$. The conversation encourages users to share their progress and seek assistance when encountering difficulties.

PREREQUISITES
  • Understanding of Legendre polynomials
  • Familiarity with mathematical induction
  • Knowledge of recurrence relations
  • Basic calculus, particularly differentiation
NEXT STEPS
  • Study the properties of Legendre polynomials
  • Learn detailed techniques for mathematical induction
  • Explore advanced recurrence relations in polynomial sequences
  • Review differentiation methods relevant to polynomial functions
USEFUL FOR

Mathematicians, students studying polynomial theory, and anyone interested in advanced calculus and mathematical proofs.

Joe20
Messages
53
Reaction score
1
Homework Statement
As attached
Relevant Equations
As attached
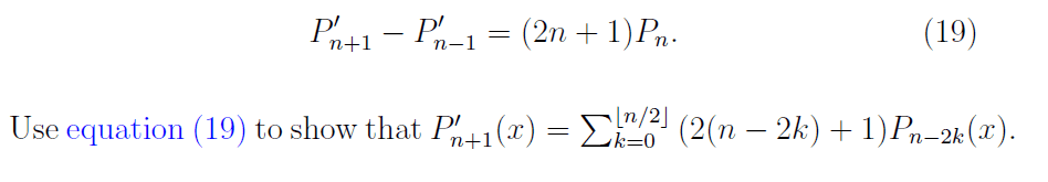
Note: $P_n (x)$ is legendre polynomial

$$P_{n+1}(x) = (2n+1)P_n(x) + P'_{n-1}(x) $$
$$\implies P_{n+1}(x) = (2n+1)P_n(x) + \sum_{k=0}^{\lfloor\frac{n}{2}\rfloor} (2(n-1-2k)+1)P_{n-1-2k}(x))$$

How can I continue to use induction to prove this? Help appreciated.
 

Attachments

  • 1.png
    1.png
    8.4 KB · Views: 219
Last edited:
Physics news on Phys.org
To prove something by induction, you need to do two things:
Prove it's true for n=1.

Prove that if it's true for n=m, that implies it's true for n=m+1.

The first part at least is usually pretty easy. Why don't you try to get as far as you can and post your work where you get stuck?
 
  • Like
Likes   Reactions: vanhees71 and Greg Bernhardt

Similar threads

  • · Replies 16 ·
Replies
16
Views
4K
Replies
1
Views
2K
  • · Replies 10 ·
Replies
10
Views
3K
Replies
3
Views
3K
Replies
3
Views
2K
  • · Replies 1 ·
Replies
1
Views
4K
  • · Replies 2 ·
Replies
2
Views
3K
  • · Replies 1 ·
Replies
1
Views
2K
  • · Replies 1 ·
Replies
1
Views
2K
  • · Replies 2 ·
Replies
2
Views
2K