karush
Gold Member
MHB
- 3,240
- 5
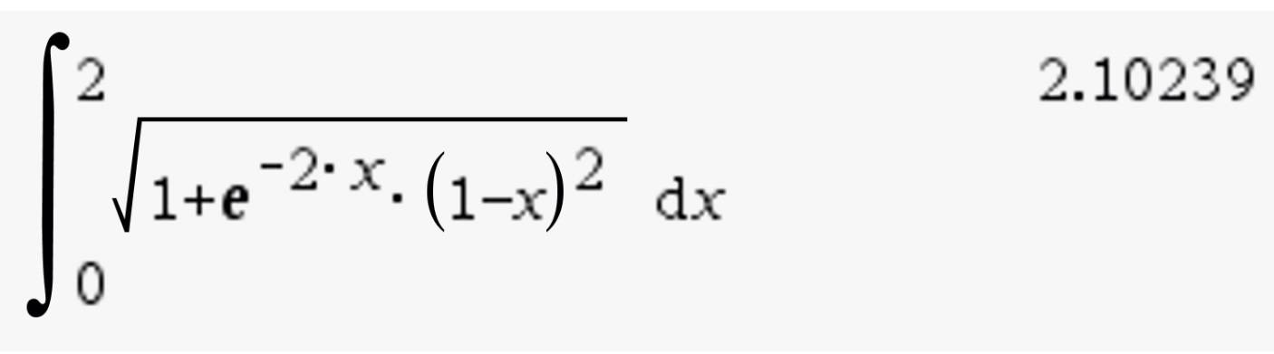
8.1.1
find the length of the curve to four decimal places
$y=xe^{-x},\quad 0 \le x \le 2$
eq from book
$L=\int_c^d\sqrt{1+[g'(y)]^2}\, dy$
ok I haven't done this in about 2 years and only did a few then so trying to review
rare stuff kinda
desmos graph
find the length of the curve to four decimal places
$y=xe^{-x},\quad 0 \le x \le 2$
eq from book
$L=\int_c^d\sqrt{1+[g'(y)]^2}\, dy$
ok I haven't done this in about 2 years and only did a few then so trying to review
rare stuff kinda
desmos graph
