Magnetic field force between two perpendicular wires

Click For Summary
SUMMARY

The discussion focuses on calculating the magnetic field force between two perpendicular wires using integral calculus. Participants express concerns about discrepancies in the expected force values after performing the integration. Key points include the need for clarity on the integration process and the geometric setup, particularly the positioning of segment L relative to the wires. A visual representation of the problem is suggested to aid understanding.

PREREQUISITES
  • Understanding of magnetic field theory and forces between current-carrying conductors.
  • Proficiency in integral calculus, particularly in solving definite integrals.
  • Familiarity with the Biot-Savart Law and its application to wire configurations.
  • Ability to interpret and create geometric figures related to physics problems.
NEXT STEPS
  • Review the Biot-Savart Law for calculating magnetic fields around current-carrying wires.
  • Practice solving definite integrals in the context of physics problems.
  • Learn how to create and interpret geometric figures for complex physics scenarios.
  • Explore examples of magnetic forces between multiple conductors in different orientations.
USEFUL FOR

Physics students, electrical engineers, and anyone involved in electromagnetic theory or applications involving current-carrying wires.

ssarpal
Messages
7
Reaction score
1
Homework Statement
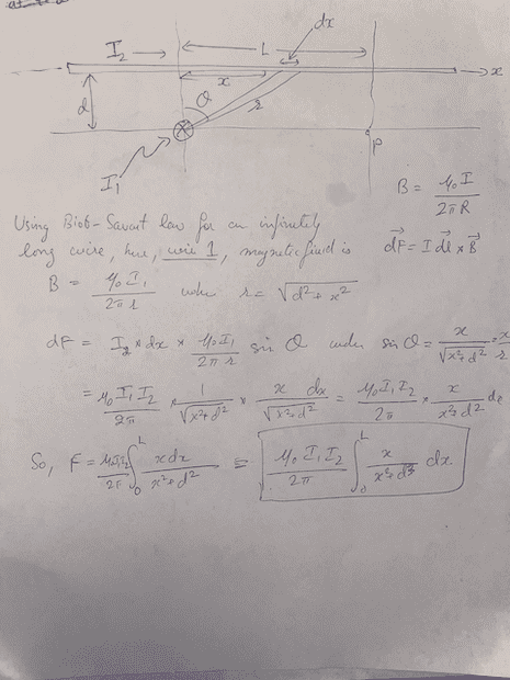
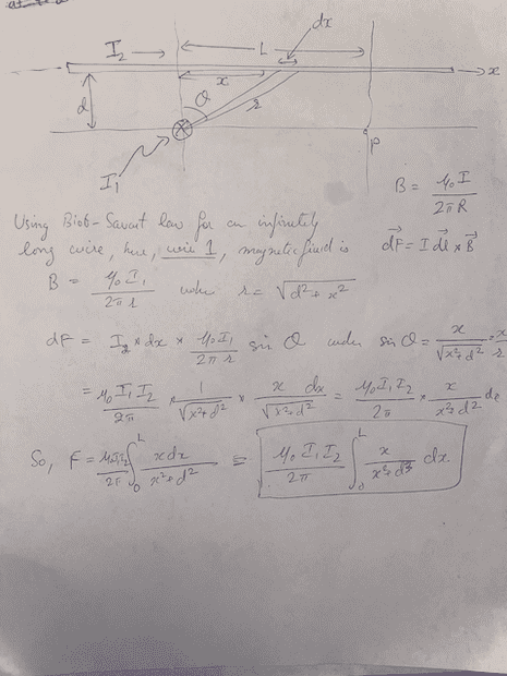
Two wires, 1 and 2, are carrying currents I1 and I2. They are perpendicular to each other and separated by distance d.

What is the force exerted on a segment of wire 2 of length L from the point where they would have intersected if they were on the same plane.
Relevant Equations
https://openstax.org/books/university-physics-volume-2/pages/12-2-magnetic-field-due-to-a-thin-straight-wire

What is the magnetic field at a point P, located a distance R from the wire?
Using Biot-Savart law, equation 12.8 gives the magnetic field.


https://openstax.org/books/university-physics-volume-2/pages/11-4-magnetic-force-on-a-current-carrying-conductor

Using Equation 11.12 to calculate the force.
There are a couple of problems with the same setup. On plugging in the values and solving for the integral, I am not getting the expected values of the force. Is there something wrong in the solution attached?
 

Attachments

  • IMG_9923.png
    IMG_9923.png
    55.9 KB · Views: 174
Physics news on Phys.org
I see nothing wrong in what you have done so far. Can you show what you got when you integrated?

Also, you show that segment ##L## is symmetrically disposed about the bottom wire. Could it be that "segment of wire 2 of length L from the point where they would have intersected if they were on the same plane" starts at that point and ends a distance ##L## away? Is there a figure that goes with this problem?
 
  • Like
Likes   Reactions: scottdave

Similar threads

Replies
4
Views
1K
Replies
16
Views
2K
  • · Replies 6 ·
Replies
6
Views
2K
Replies
7
Views
3K
Replies
14
Views
3K
Replies
2
Views
1K
  • · Replies 21 ·
Replies
21
Views
2K
Replies
2
Views
1K
  • · Replies 8 ·
Replies
8
Views
2K
  • · Replies 4 ·
Replies
4
Views
3K