Marginal probability density functions (pdf)

Click For Summary
SUMMARY

The discussion focuses on deriving the marginal probability density functions (pdfs) for two independent gamma distributions, specifically for the transformations Y1 = X1/(X1 + X2) and Y2 = X1 + X2, where X1 ~ Γ(α1, β) and X2 ~ Γ(α2, β). The participants emphasize the importance of the Gamma function in computing integrals necessary for finding these marginal pdfs. The final expression for the marginal pdf of Y2 is derived using a transformation technique involving the Jacobian and the Gamma function, leading to a definitive formula for the marginal pdfs.

PREREQUISITES
  • Understanding of marginal probability density functions
  • Familiarity with gamma distributions and their properties
  • Knowledge of transformation techniques in probability theory
  • Proficiency in using the Gamma function and its integral representation
NEXT STEPS
  • Study the properties of the Gamma function and its applications in probability
  • Learn about Jacobian transformations in multivariable calculus
  • Explore the derivation of marginal distributions from joint distributions
  • Investigate examples of independent random variables and their transformations
USEFUL FOR

Statisticians, data scientists, and mathematicians interested in probability theory, particularly those working with gamma distributions and marginal pdfs in statistical modeling.

QuebecRb
Messages
1
Reaction score
0
I have a set of two related queries relating to marginal pdfs:
i.How to proceed finding the marginal pdfs of two independent gamma distributions (X1 and X2) with parameters (α1,β) and (α2,β) respectively, given the transformation: Y1=X1/(X1+X2) and Y2=X1+X2.
I am using the following gamma formula:

View attachment 3407

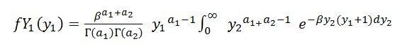
Having written the joint pdf and having applied the Jacobean, I have reached the final stage of writing the expression for the marginal (Y1):

View attachment 3408

but I cannot proceed further, obtaining the marginal pdf.

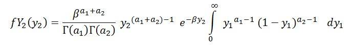
ii.Additionally, given the following transformations , Y1=X1/X2 and Y2=X2, I have written the expression for the marginal (Y2):

View attachment 3409

How do I find this marginal pdf?

Any enlightening answers would be appreciated.
 

Attachments

  • 1.JPG
    1.JPG
    2.9 KB · Views: 130
  • 2.JPG
    2.JPG
    5.6 KB · Views: 145
  • 3.JPG
    3.JPG
    6.6 KB · Views: 154
Physics news on Phys.org
I'm a little bit confused about the exercice. If I understand it correctly, you have given two independent gamma distributed random variables $X_1 \sim \Gamma(\alpha_1, \beta) $ and $X_2 \sim \Gamma(\alpha_2,\beta) $ and the goal is to compute the distribution of $Y_1 = \frac{X_1}{X_1+X_2}$ and $Y_2 = X_1+X_2$. Am I right here?

I did not check if your solution for $f_{Y_1}(y_1)$ and $f_{Y_2}(y_2)$ is correct, but to proceed the Gamma function can be useful. It is defined as
$$\Gamma(z) = \int_{0}^{\infty} t^{z-1}e^{-t}dt$$

For example to compute the following integral
$$\int_{0}^{\infty} y_2^{\alpha_1+\alpha_2-1}e^{-\beta y_2(y_1+1)}dy_2 $$

Let $\beta y_2(y_1+1) = t \Rightarrow dy_2 = \frac{dt}{\beta(y_1+1)}$. Thus the integral becomes
$$\frac{1}{\beta (y_1+1)} \int_{0}^{\infty} \left[\frac{t}{\beta(y_1+1)}\right]^{\alpha_1+\alpha_2-1} e^{-t}dt = \frac{1}{\beta^{\alpha_1+\alpha_2}(y_1+1)^{\alpha_1+\alpha_2}} \int_{0}^{\infty} t^{\alpha_1+\alpha_2-1}e^{-t}dt = \frac{1}{\beta^{\alpha_1+\alpha_2}(y_1+1)^{\alpha_1+\alpha_2}} \Gamma(\alpha_1+\alpha_2)$$
 

Similar threads

Replies
4
Views
3K
  • · Replies 1 ·
Replies
1
Views
3K
  • · Replies 2 ·
Replies
2
Views
2K
Replies
6
Views
2K
  • · Replies 4 ·
Replies
4
Views
2K
  • · Replies 2 ·
Replies
2
Views
1K
Replies
1
Views
2K
  • · Replies 6 ·
Replies
6
Views
5K
  • · Replies 9 ·
Replies
9
Views
5K
  • · Replies 3 ·
Replies
3
Views
2K